Официальное опубликование правовых актов
ОФИЦИАЛЬНОЕ ОПУБЛИКОВАНИЕ
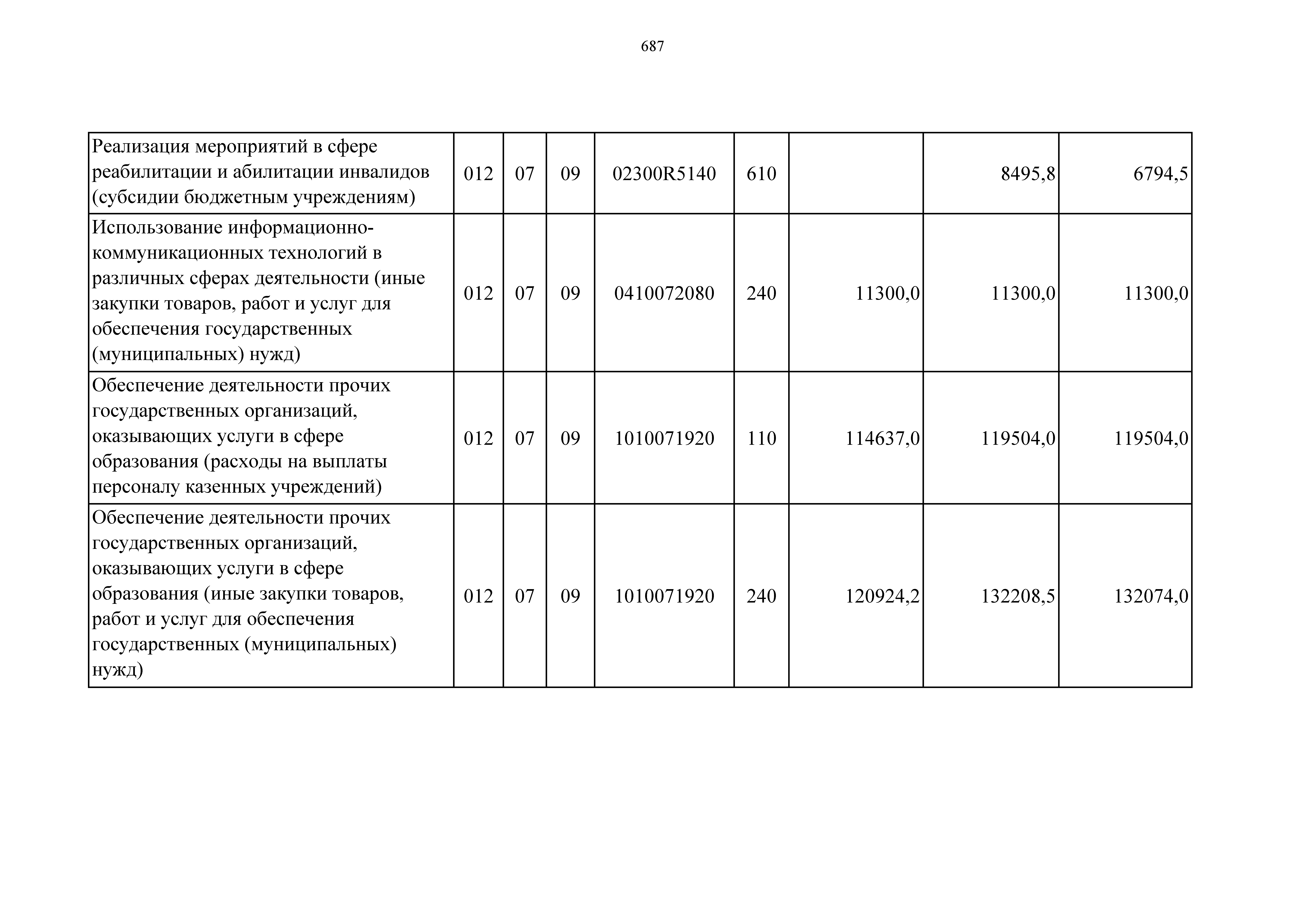
Закон Кемеровской области - Кузбасса от 21.12.2023 № 119-ОЗ
"О внесении изменений в Закон Кемеровской области – Кузбасса "Об областном бюджете на 2023 год и на плановый период 2024 и 2025 годов"
Номер опубликования: 4200202312220022
Дата опубликования: 22.12.2023
Страница №687 из 1090: