Официальное опубликование правовых актов
ОФИЦИАЛЬНОЕ ОПУБЛИКОВАНИЕ
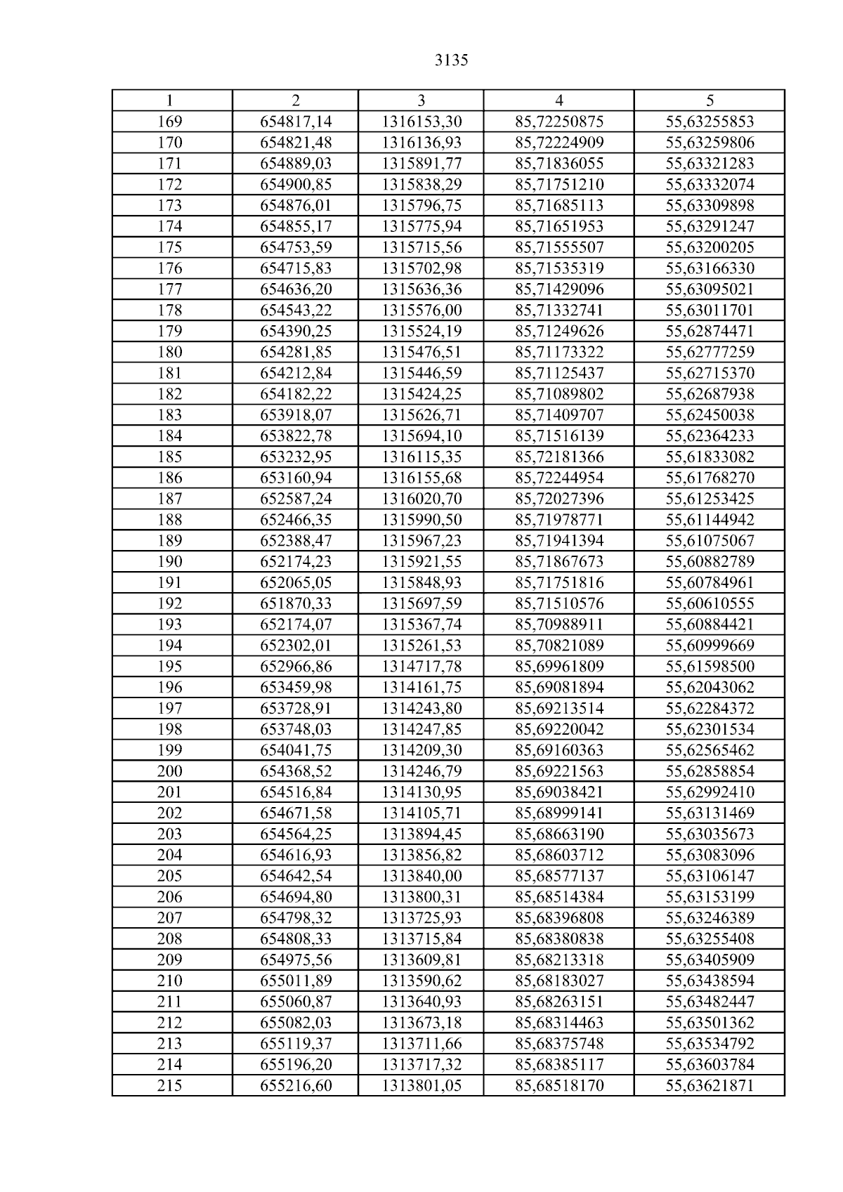
Постановление Губернатора Кемеровской области - Кузбасса от 09.01.2024 № 2-пг
"Об утверждении Схемы размещения, использования и охраны охотничьих угодий на территории Кемеровской области - Кузбасса"
Номер опубликования: 4200202401170003
Дата опубликования: 17.01.2024
Страница №3135 из 3363:
Увеличить