Официальное опубликование правовых актов
ОФИЦИАЛЬНОЕ ОПУБЛИКОВАНИЕ
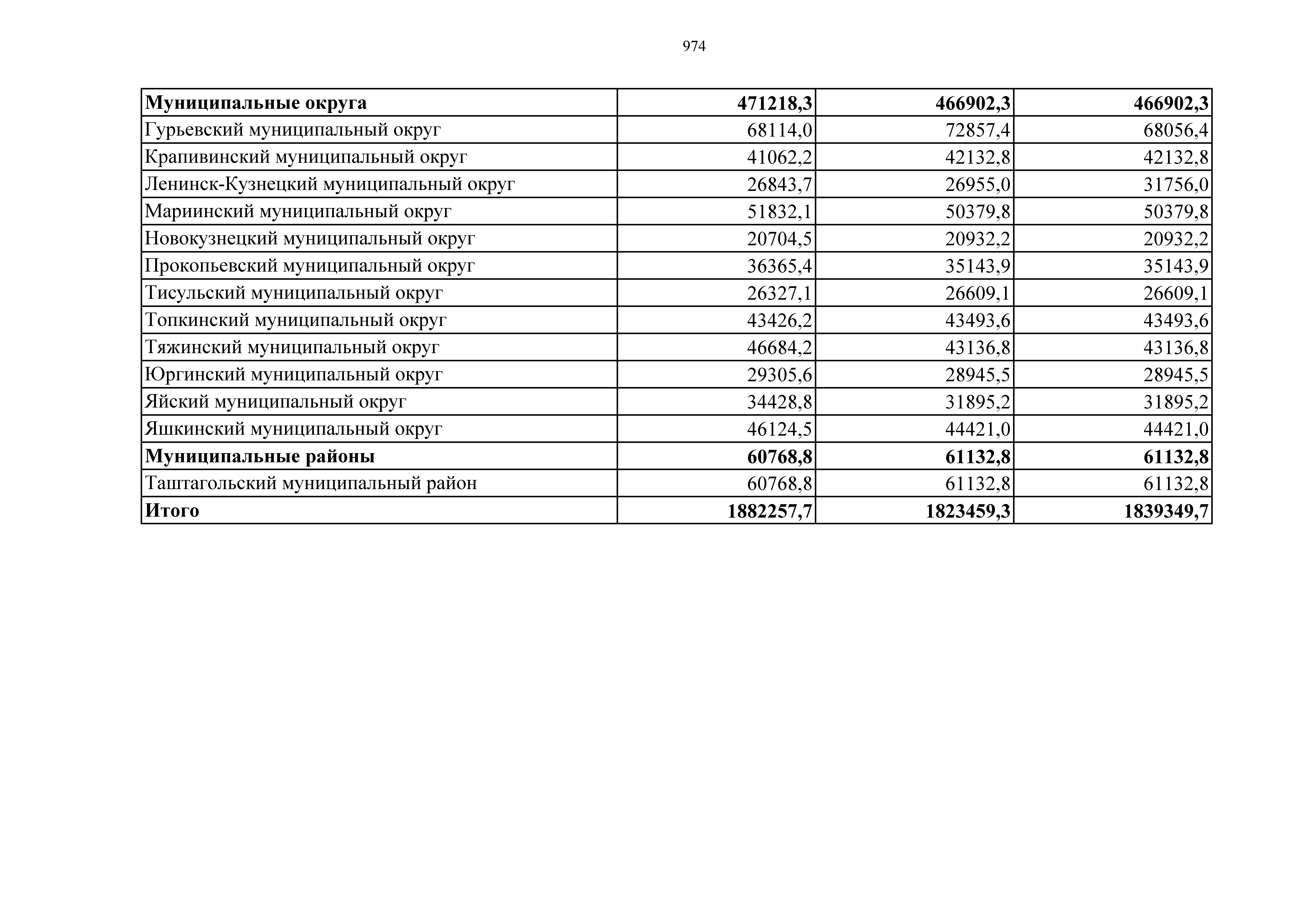
Закон Кемеровской области - Кузбасса от 01.04.2024 № 16-ОЗ
"О внесении изменений в Закон Кемеровской области – Кузбасса "Об областном бюджете на 2024 год и на плановый период 2025 и 2026 годов"
Номер опубликования: 4200202404050010
Дата опубликования: 05.04.2024
Страница №974 из 1026: