Официальное опубликование правовых актов
ОФИЦИАЛЬНОЕ ОПУБЛИКОВАНИЕ
Постановление Правительства Кемеровской области - Кузбасса от 14.05.2024 № 261
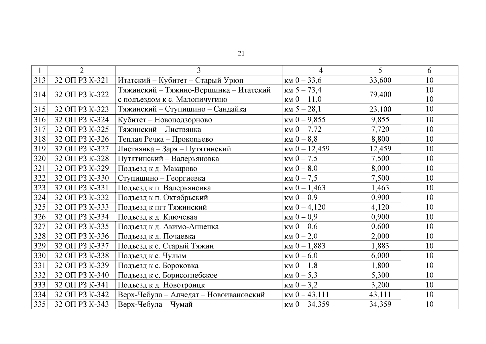
"О внесении изменений в постановление Коллегии Администрации Кемеровской области от 05.02.2008 № 24 "О перечне автомобильных дорог общего пользования регионального или межмуниципального значения Кемеровской области — Кузбасса"
Номер опубликования: 4200202405170011
Дата опубликования: 17.05.2024
Страница №21 из 35:
Увеличить