Официальное опубликование правовых актов
ОФИЦИАЛЬНОЕ ОПУБЛИКОВАНИЕ
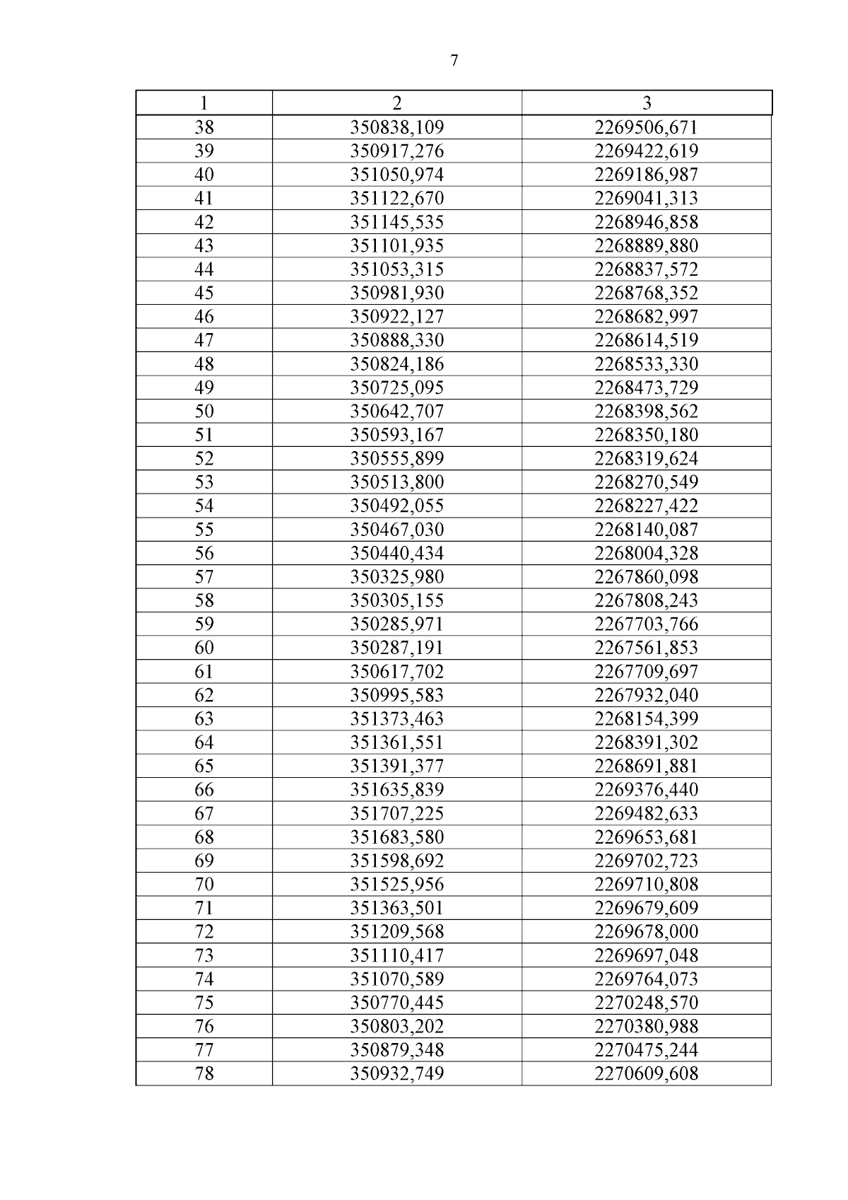
Постановление Правительства Кемеровской области - Кузбасса от 16.08.2024 № 550
"Об изменении площадей и границ земель, на которых расположены леса, указанные в пункте 3 части 1 статьи 114 Лесного кодекса Российской Федерации, Таштагольского лесничества Кемеровской области — Кузбасса"
Номер опубликования: 4200202408210001
Дата опубликования: 21.08.2024
Страница №7 из 16:
Увеличить