Официальное опубликование правовых актов
ОФИЦИАЛЬНОЕ ОПУБЛИКОВАНИЕ
Закон Кемеровской области - Кузбасса от 10.12.2025 № 161-ОЗ
"Об областном бюджете на 2026 год и на плановый период 2027 и 2028 годов"
Номер опубликования: 4200202512110003
Дата опубликования: 11.12.2025
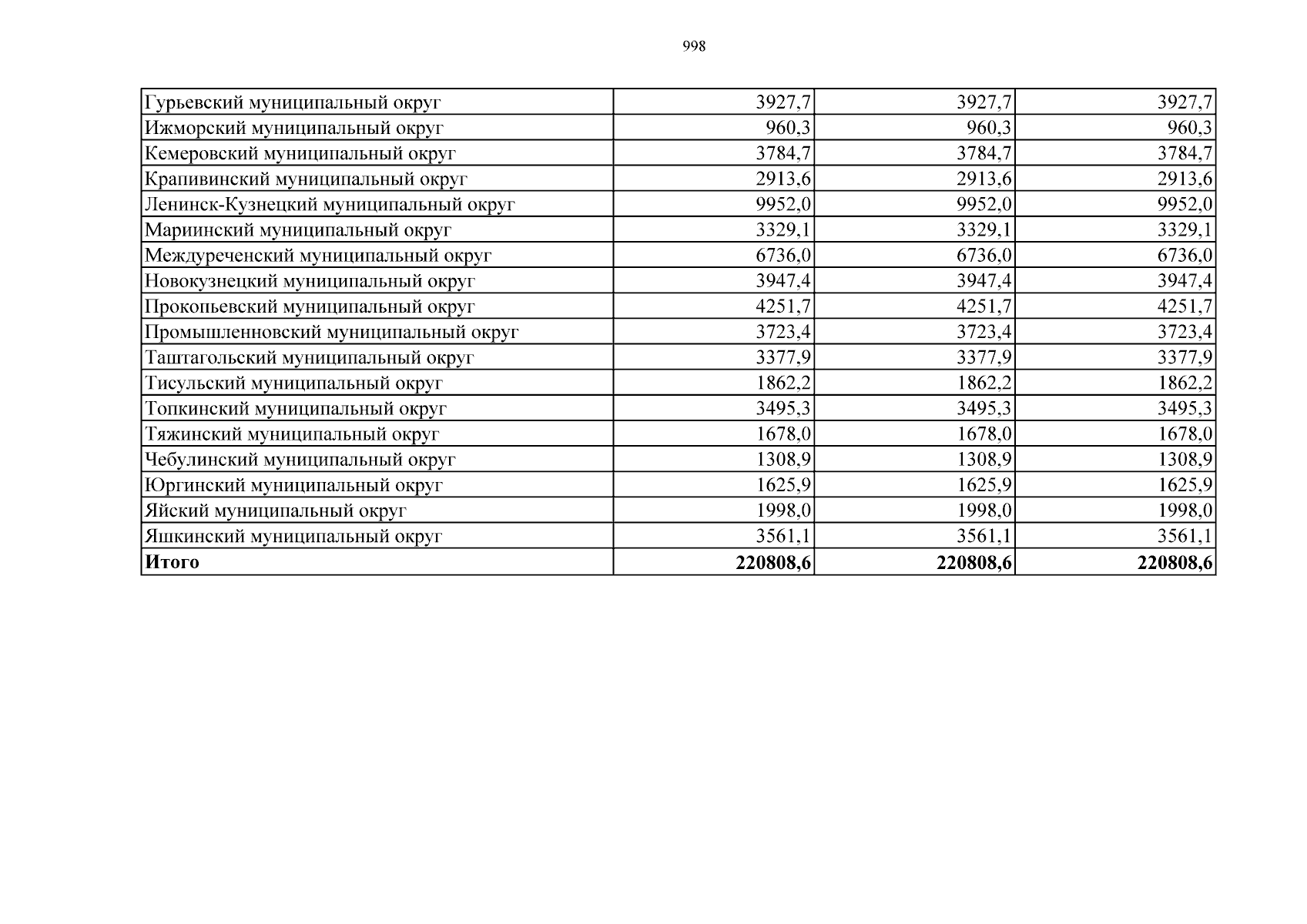
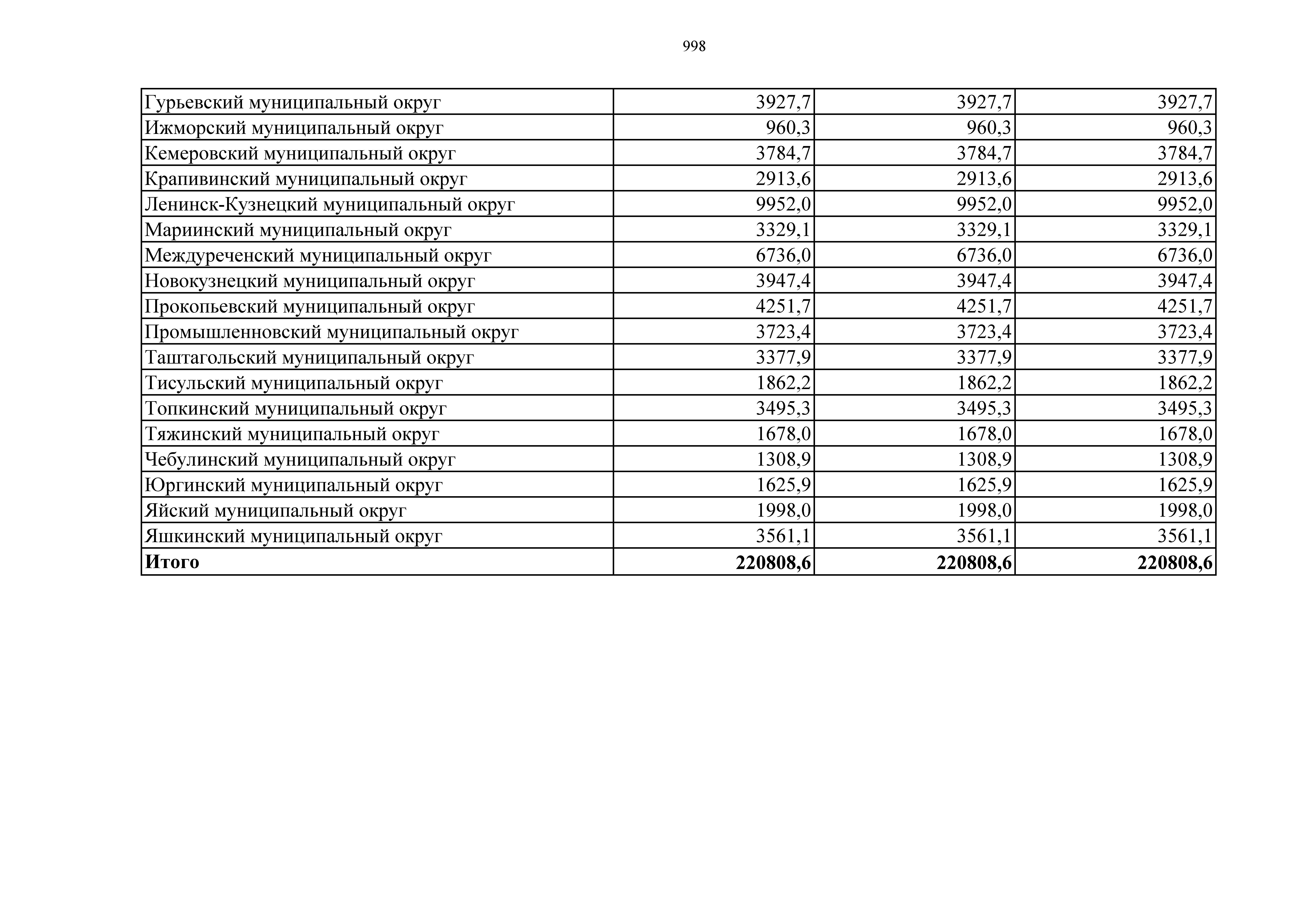
Страница №998 из 1045: