Официальное опубликование правовых актов
ОФИЦИАЛЬНОЕ ОПУБЛИКОВАНИЕ
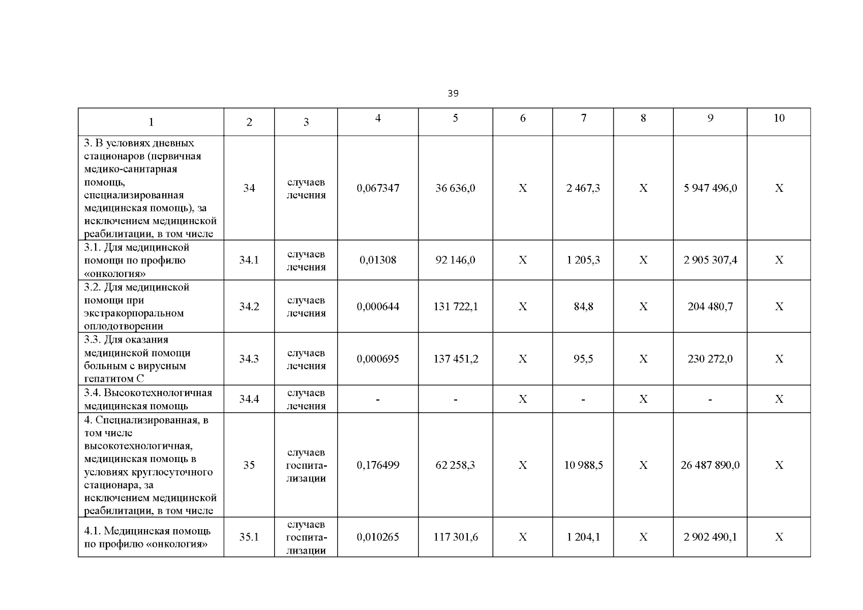
Постановление Правительства Кемеровской области - Кузбасса от 13.01.2026 № 5
"О внесении изменений в постановление Правительства Кемеровской области — Кузбасса от 28.12.2024 № 852 "Об утверждении Территориальной программы государственных гарантий бесплатного оказания гражданам медицинской помощи на 2025 год и на плановый период 2026 и 2027 годов"
Номер опубликования: 4200202601160006
Дата опубликования: 16.01.2026
Страница №39 из 101:
Увеличить