Официальное опубликование правовых актов
ОФИЦИАЛЬНОЕ ОПУБЛИКОВАНИЕ
Постановление региональной энергетической комиссии Кемеровской области от 17.12.2019 № 605
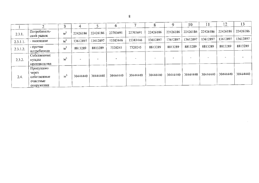
"О внесении изменений в постановление региональной энергетической комиссии Кемеровской области от 19.12.2018 № 602 "Об утверждении производственной программы в сфере холодного водоснабжения питьевой водой, водоотведения и об установлении тарифов на питьевую воду, водоотведение ООО "Водоканал" (г. Новокузнецк)" в части 2020 года"
Номер опубликования: 4201201912260013
Дата опубликования: 26.12.2019
Страница №8 из 21:
Увеличить