Официальное опубликование правовых актов
ОФИЦИАЛЬНОЕ ОПУБЛИКОВАНИЕ
Постановление Региональной энергетической комиссии Кузбасса от 30.09.2020 № 247
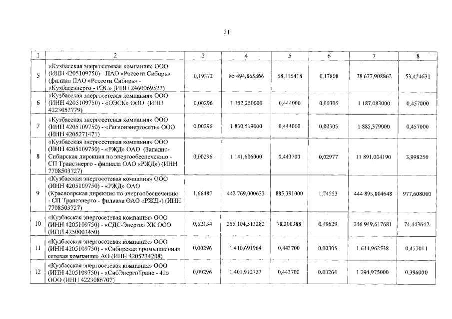
"О внесении изменений в постановления региональной энергетической комиссии Кемеровской областиот 31.12.2016 № 753 "Об установлении долгосрочных параметров регулирования и необходимой валовой выручки на долгосрочный период регулирования для территориальных сетевых организаций Кемеровской области", от 31.12.2019 № 896 "Об установлении тарифов на услуги по передаче электрической энергии по электрическим сетям Кемеровской области на 2020 год"
Номер опубликования: 4201202010060003
Дата опубликования: 06.10.2020
Страница №31 из 39:
Увеличить