Официальное опубликование правовых актов
ОФИЦИАЛЬНОЕ ОПУБЛИКОВАНИЕ
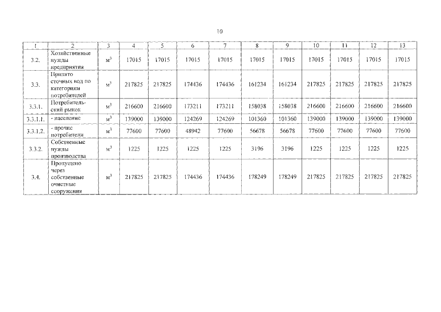
Постановление Региональной энергетической комиссии Кузбасса от 01.12.2020 № 483
"О внесении изменений в постановление региональной энергетической комиссии Кемеровской области от 04.12.2018 № 423 "Об утверждении производственной программы в сфере холодного водоснабжения, водоотведения и об установлении тарифов на питьевую воду, водоотведениеООО "Тепло - энергетические предприятия" (Крапивинский муниципальный район)" в части 2021 года"
Номер опубликования: 4201202012070028
Дата опубликования: 07.12.2020
Страница №10 из 26:
Увеличить