Официальное опубликование правовых актов
ОФИЦИАЛЬНОЕ ОПУБЛИКОВАНИЕ
Постановление Региональной энергетической комиссии Кузбасса от 01.12.2020 № 479
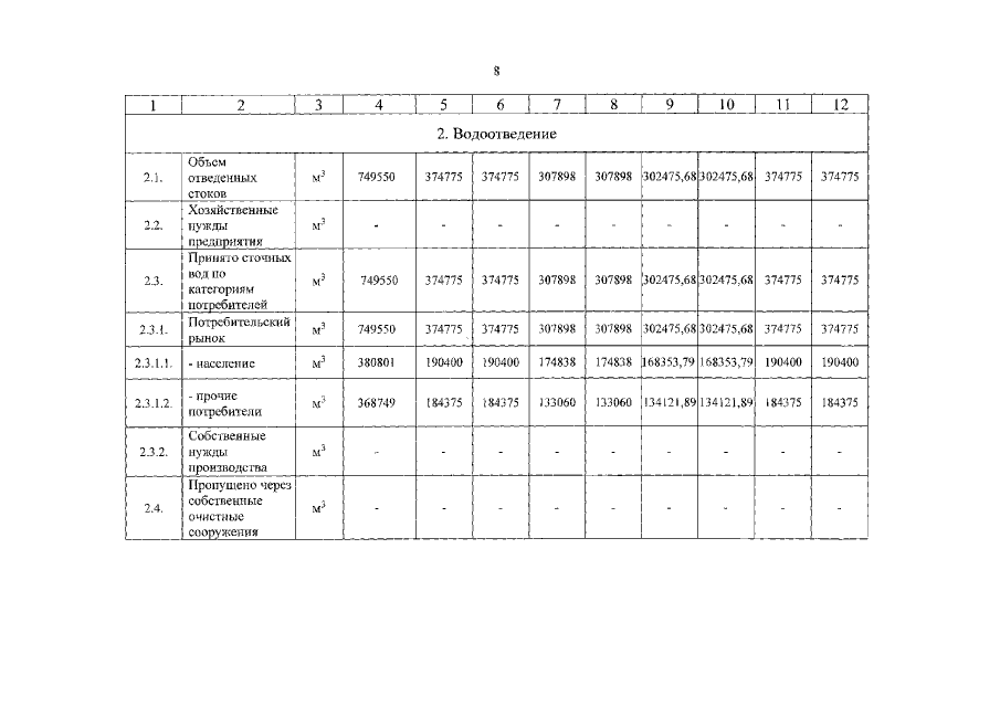
"О внесении изменений в постановление региональной энергетической комиссии Кемеровской области от 27.12.2018 № 746 "Об утверждении производственной программы в сфере холодного водоснабжения, водоотведения и об установлении тарифов на питьевую воду, водоотведение ООО "Горводоканал" (Мариинский муниципальный район)" в части 2021 года"
Номер опубликования: 4201202012070029
Дата опубликования: 07.12.2020
Страница №8 из 21:
Увеличить