Официальное опубликование правовых актов
ОФИЦИАЛЬНОЕ ОПУБЛИКОВАНИЕ
Постановление Региональной энергетической комиссии Кузбасса от 15.12.2020 № 565
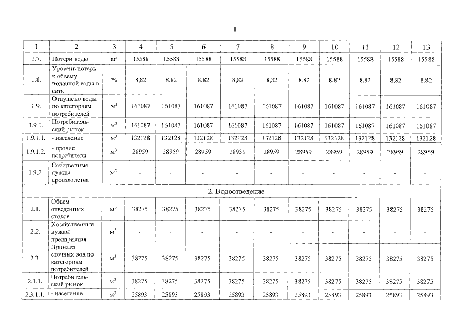
"О внесении изменений в постановление региональной энергетической комиссии Кемеровской области от 20.12.2018 № 623 "Об утверждении производственной программы в сфере холодного водоснабжения, водоотведения и об установлении тарифов на питьевую воду, водоотведение МУП ПМР "Тепломир" (Прокопьевский муниципальный округ) в части 2021 года"
Номер опубликования: 4201202012170006
Дата опубликования: 17.12.2020
Страница №8 из 20:
Увеличить