Официальное опубликование правовых актов
ОФИЦИАЛЬНОЕ ОПУБЛИКОВАНИЕ
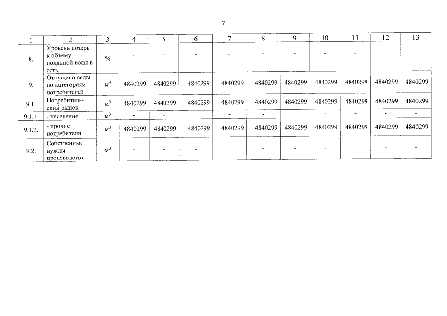
Постановление Региональной энергетической комиссии Кузбасса от 17.12.2020 № 598
"Об утверждении производственной программы в сфере холодного водоснабжения питьевой водой и об установлении тарифов на питьевую воду (подъем, очистка, транспортировка до узла 1 "А") АО "ПО Водоканал" (Прокопьевский городской округ)"
Номер опубликования: 4201202012250046
Дата опубликования: 25.12.2020
Страница №7 из 17:
Увеличить