Официальное опубликование правовых актов
ОФИЦИАЛЬНОЕ ОПУБЛИКОВАНИЕ
Постановление Региональной энергетической комиссии Кузбасса от 02.02.2021 № 38
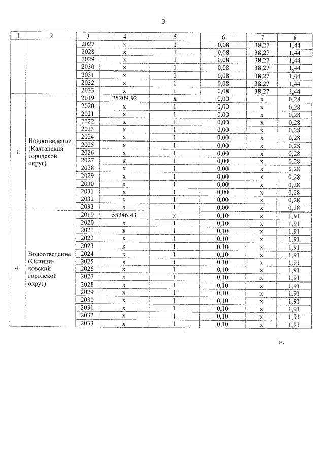
"О внесении изменений в постановление региональной энергетической комиссии Кемеровской области от 30.08.2019 № 236 "Об установлении долгосрочных параметров регулирования тарифов в сфере холодного водоснабжения, водоотведения ООО "Водоканал" (г. Калтан, г. Осинники)"
Номер опубликования: 4201202102080007
Дата опубликования: 08.02.2021
Страница №3 из 3:
Увеличить