Официальное опубликование правовых актов
ОФИЦИАЛЬНОЕ ОПУБЛИКОВАНИЕ
Постановление Региональной энергетической комиссии Кузбасса от 02.02.2021 № 42
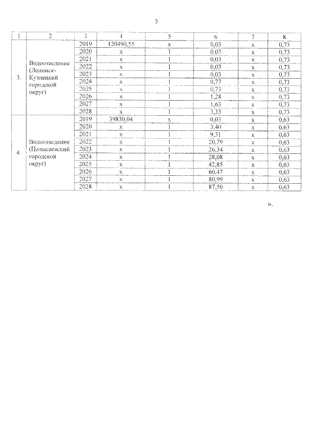
"О внесении изменений в постановление региональной энергетической комиссии Кемеровской области от 17.12.2019 № 602 "Об установлении долгосрочных параметров регулирования тарифов в сфере холодного водоснабжения питьевой водой, водоотведения ОАО "Северо-Кузбасская энергетическая компания" (Ленинск-Кузнецкий городской округ, Полысаевский городской округ)"
Номер опубликования: 4201202102080010
Дата опубликования: 08.02.2021
Страница №3 из 3:
Увеличить