Официальное опубликование правовых актов
ОФИЦИАЛЬНОЕ ОПУБЛИКОВАНИЕ
Приказ Комитета по охране объектов культурного наследия Кузбасса от 17.05.2021 № 180
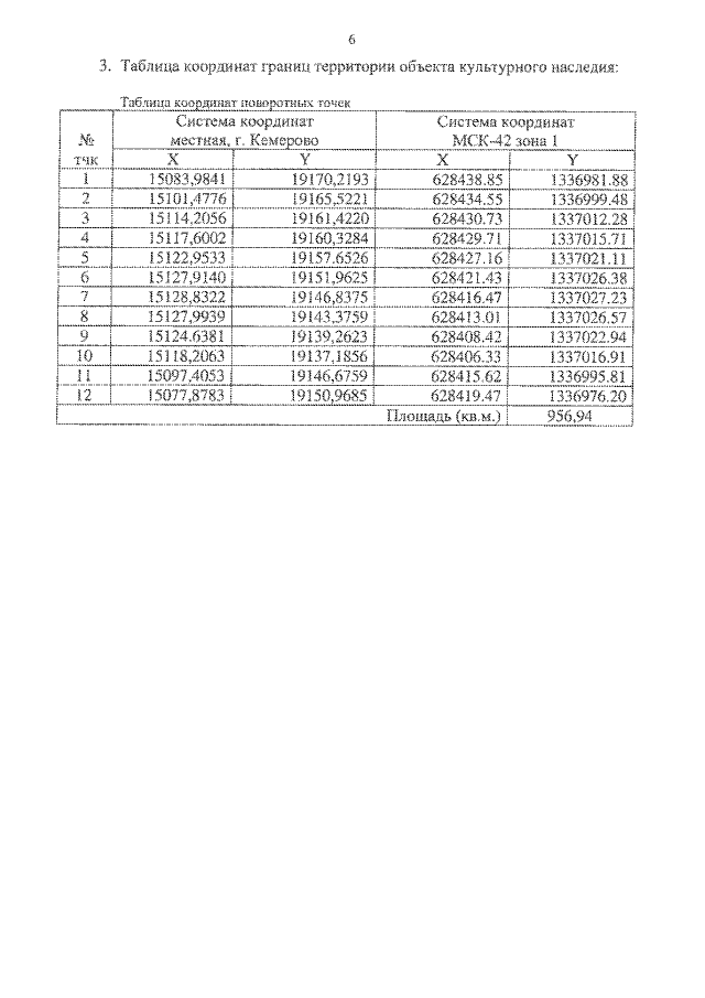
"Об утверждении особенностей объекта культурного наследия регионального значения "Братская могила воинов, умерших от ран в годы Великой Отечественной войны. Обелиск", подлежащих обязательному сохранению (предмет охраны), границ его территории и требований к осуществлению деятельности в границах его территории"
Номер опубликования: 4201202105210004
Дата опубликования: 21.05.2021
Страница №6 из 7:
Увеличить