Официальное опубликование правовых актов
ОФИЦИАЛЬНОЕ ОПУБЛИКОВАНИЕ
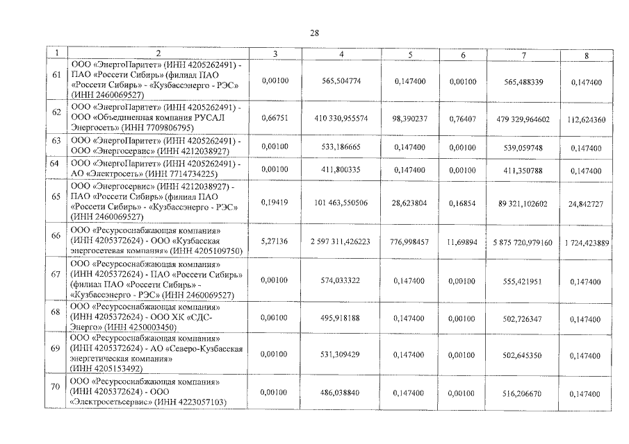
Постановление Региональной энергетической комиссии Кузбасса от 01.06.2021 № 162
"Об установлении тарифов на услуги по передаче электрической энергии по электрическим сетям Кемеровской области - Кузбасса и внесении изменения в постановление Региональной энергетической комиссии Кузбасса от 25.02.2021 № 83 "О внесении изменений в постановления Региональной энергетической комиссии Кузбасса от 31.12.2020 № 843 "Об утверждении стандартизированных тарифных ставок, ставок за единицу максимальной мощности, формул платы, платы заявителей до 15 кВт включительно за технологическое присоединение к электрическим сетям территориальных сетевых организаций Кемеровской области - Кузбасса на 2021 год", от 31.12.2020 № 845 "Об установлении тарифов на услуги по передаче электрической энергии по электрическим сетям Кемеровской области - Кузбасса на 2021 год"
Номер опубликования: 4201202106080001
Дата опубликования: 08.06.2021
Страница №28 из 29:
Увеличить