Официальное опубликование правовых актов
ОФИЦИАЛЬНОЕ ОПУБЛИКОВАНИЕ
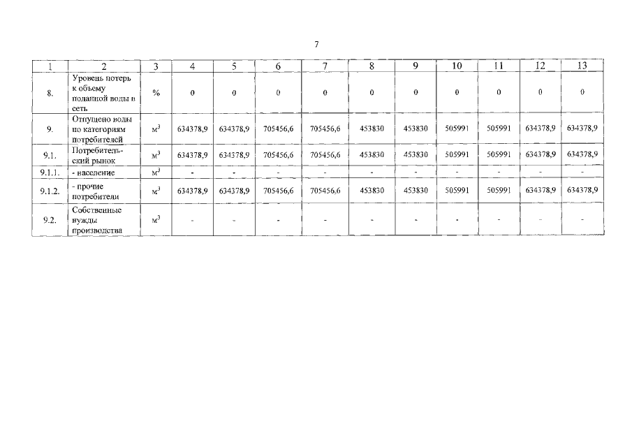
Постановление Региональной энергетической комиссии Кузбасса от 10.06.2021 № 187
"О внесении изменений в постановление региональной энергетической комиссии Кемеровской области от 09.10.2018 № 238 "Об утверждении производственной программы в сфере холодного водоснабжения технической водой и об установлении тарифов на техническую воду АО "Кузнецкая ТЭЦ" (г. Новокузнецк)" в части 2022 года"
Номер опубликования: 4201202106110001
Дата опубликования: 11.06.2021
Страница №7 из 17:
Увеличить