Официальное опубликование правовых актов
ОФИЦИАЛЬНОЕ ОПУБЛИКОВАНИЕ
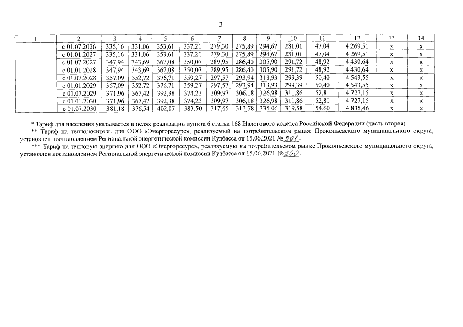
Постановление Региональной энергетической комиссии Кузбасса от 15.06.2021 № 202
"Об установлении ООО "Энергоресурс" долгосрочных тарифов на горячую воду в открытой системе горячего водоснабжения (теплоснабжения), реализуемую на потребительском рынке Прокопьевского муниципального округа, на 2021-2030 годы"
Номер опубликования: 4201202106160007
Дата опубликования: 16.06.2021
Страница №3 из 3:
Увеличить