Официальное опубликование правовых актов
ОФИЦИАЛЬНОЕ ОПУБЛИКОВАНИЕ
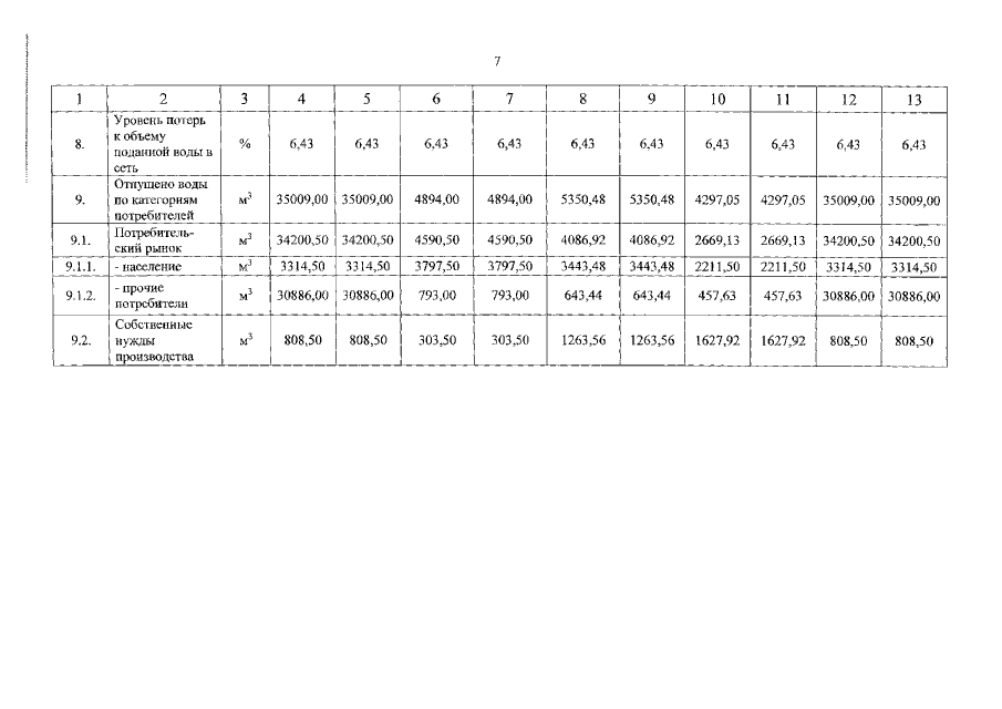
Постановление Региональной энергетической комиссии Кузбасса от 15.06.2021 № 199
"О внесении изменений в постановление региональной энергетической комиссии Кемеровской области от 18.09.2018 № 198 "Об утверждении производственной программы в сфере холодного водоснабжения и об установлении тарифов на питьевую воду ОАО "РЖД" (Центральная дирекция по тепловодоснабжению Красноярская дирекция по тепловодоснабжению) (г. Междуреченск)" в части 2022 года"
Номер опубликования: 4201202106160008
Дата опубликования: 16.06.2021
Страница №7 из 17:
Увеличить