Официальное опубликование правовых актов
ОФИЦИАЛЬНОЕ ОПУБЛИКОВАНИЕ
Постановление Региональной энергетической комиссии Кузбасса от 28.06.2021 № 226
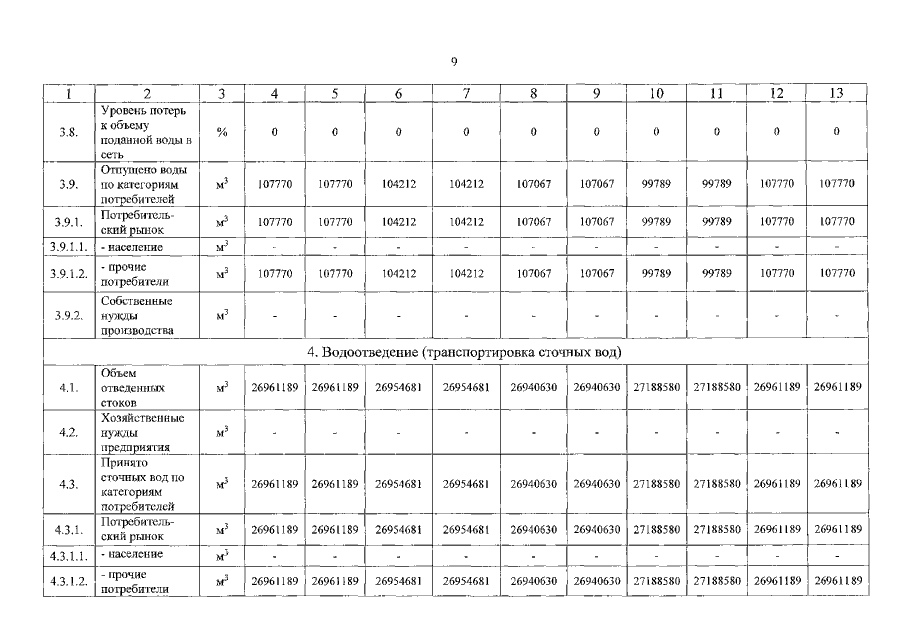
"О внесении изменений в постановление региональной энергетической комиссии Кемеровской области от 16.10.2018 № 262 "Об утверждении производственной программы в сфере холодного водоснабжения, водоотведения и об установлении тарифов на техническую воду, водоотведение хозяйственно-бытовых сточных вод, транспортировку питьевой воды, транспортировку сточных вод КАО "Азот" (г. Кемерово)" в части 2022 года"
Номер опубликования: 4201202106290003
Дата опубликования: 29.06.2021
Страница №9 из 26:
Увеличить