Официальное опубликование правовых актов
ОФИЦИАЛЬНОЕ ОПУБЛИКОВАНИЕ
Постановление Региональной энергетической комиссии Кузбасса от 17.08.2021 № 293
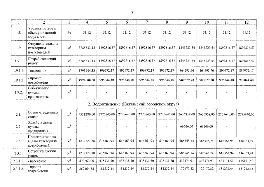
"О внесении изменений в постановление региональной энергетической комиссии Кемеровской области от 30.08.2019 № 237 "Об утверждении производственной программы в сфере холодного водоснабжения, водоотведения и об установлении тарифов на питьевую воду, водоотведение ООО "Водоканал" (г. Калтан, г. Осинники)" в части 2022 года"
Номер опубликования: 4201202108190004
Дата опубликования: 19.08.2021
Страница №7 из 31:
Увеличить