Официальное опубликование правовых актов
ОФИЦИАЛЬНОЕ ОПУБЛИКОВАНИЕ
Постановление Региональной энергетической комиссии Кузбасса от 21.09.2021 № 352
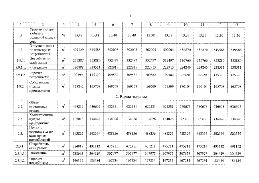
"О внесении изменений в постановление региональной энергетической комиссии Кемеровской области от 08.02.2019 № 41 "Об утверждении производственной программы в сфере холодного водоснабжения, водоотведения и об установлении тарифов на питьевую воду, водоотведение ООО "ЭнергоКомпания" (Беловский городской округ)" в части 2022 года"
Номер опубликования: 4201202109240002
Дата опубликования: 24.09.2021
Страница №7 из 22:
Увеличить