Официальное опубликование правовых актов
ОФИЦИАЛЬНОЕ ОПУБЛИКОВАНИЕ
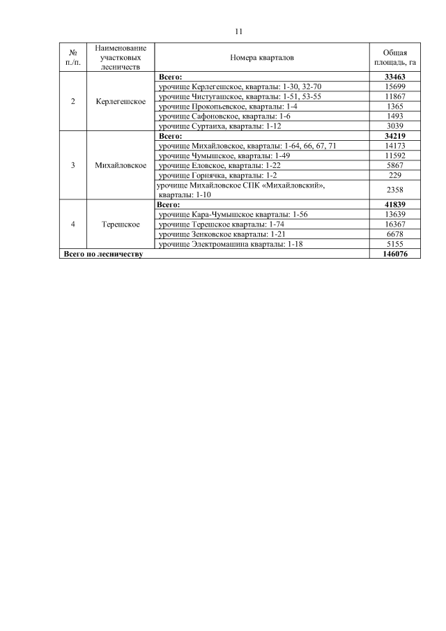
Приказ Департамента лесного комплекса Кузбасса от 30.09.2021 № 01-06/1995
"О внесении изменений в приказ департамента лесного комплекса Кемеровской области от 20.11.2018 № 01-06/2725 "Об утверждении лесохозяйственных регламентов"
Номер опубликования: 4201202110060005
Дата опубликования: 06.10.2021
Страница №11 из 245:
Увеличить