Постановление Региональной энергетической комиссии Кузбасса от 07.10.2021 № 400
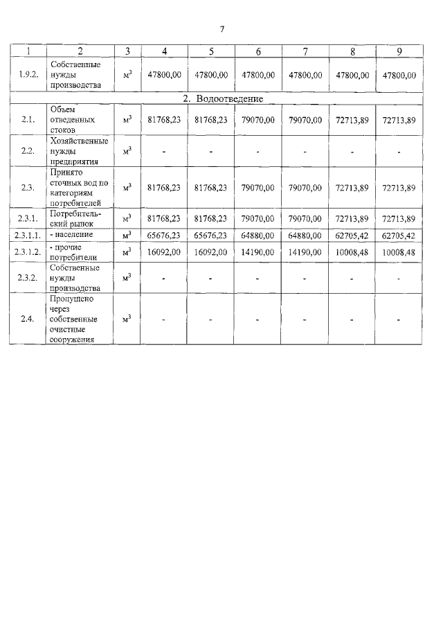
"О внесении изменений в постановление региональной энергетической комиссии Кемеровской области от 12.12.2019 № 587 "Об утверждении производственной программы в сфере холодного водоснабжения, водоотведения и об установлении тарифов на питьевую воду, водоотведение МУП "Яйская теплоснабжающая организация" Яйского муниципального округа (Яйский муниципальный округ)" в части 2022 года"
"О внесении изменений в постановление региональной энергетической комиссии Кемеровской области от 12.12.2019 № 587 "Об утверждении производственной программы в сфере холодного водоснабжения, водоотведения и об установлении тарифов на питьевую воду, водоотведение МУП "Яйская теплоснабжающая организация" Яйского муниципального округа (Яйский муниципальный округ)" в части 2022 года"
Номер опубликования: 4201202110130001
Дата опубликования:
13.10.2021
