Официальное опубликование правовых актов
ОФИЦИАЛЬНОЕ ОПУБЛИКОВАНИЕ
Постановление Региональной энергетической комиссии Кузбасса от 12.10.2021 № 411
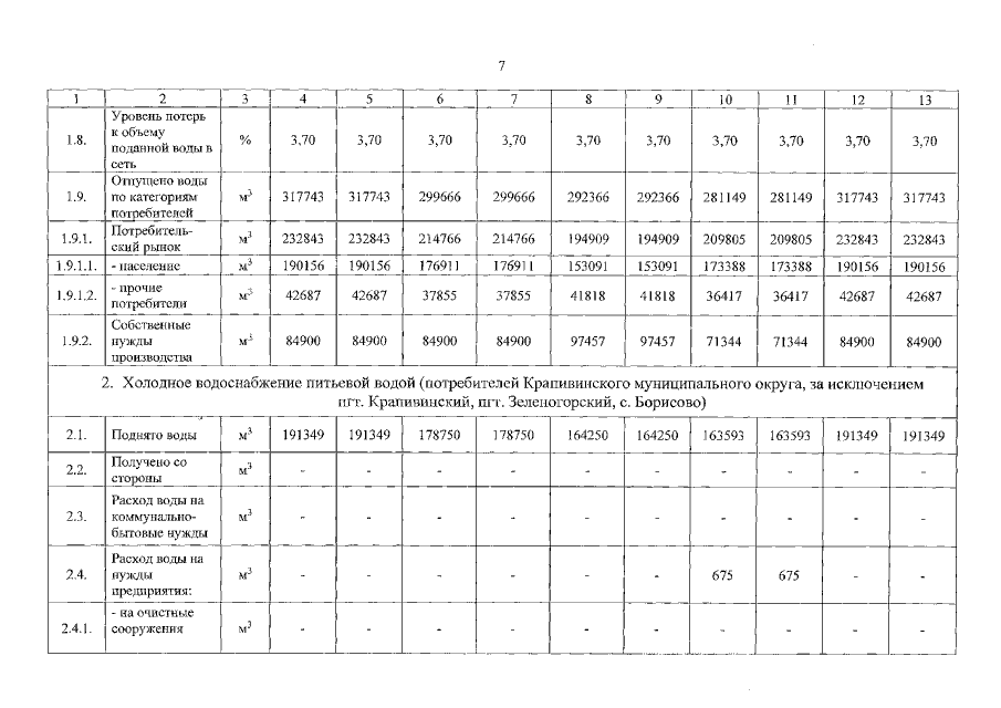
"О внесении изменений в постановление региональной энергетической комиссии Кемеровской области от 04.12.2018 № 423 "Об утверждении производственной программы в сфере холодного водоснабжения, водоотведения и об установлении тарифов на питьевую воду, водоотведение ООО "Тепло - энергетические предприятия" (Крапивинский муниципальный округ)" в части 2022 года"
Номер опубликования: 4201202110150003
Дата опубликования: 15.10.2021
Страница №7 из 26:
Увеличить