Официальное опубликование правовых актов
ОФИЦИАЛЬНОЕ ОПУБЛИКОВАНИЕ
Постановление Региональной энергетической комиссии Кузбасса от 16.11.2021 № 540
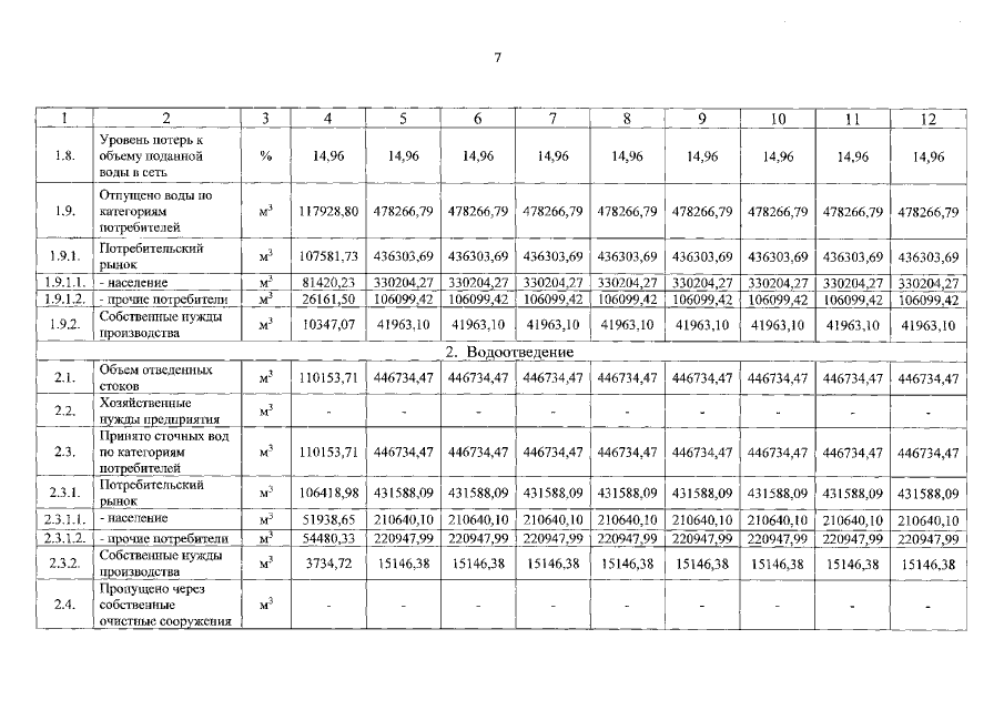
"Об утверждении производственной программы в сфере холодного водоснабжения, водоотведения и об установлении тарифов на питьевую воду, водоотведение ОАО "Северо – Кузбасская энергетическая компания" (Яшкинский муниципальный округ)"
Номер опубликования: 4201202111180004
Дата опубликования: 18.11.2021
Страница №7 из 19:
Увеличить