Официальное опубликование правовых актов
ОФИЦИАЛЬНОЕ ОПУБЛИКОВАНИЕ
Постановление Региональной энергетической комиссии Кузбасса от 16.11.2021 № 536
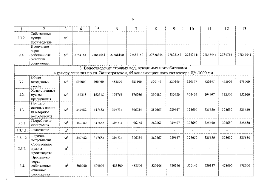
"О внесении изменений в постановление региональной энергетической комиссии Кемеровской области от 31.12.2018 № 777 "Об утверждении производственной программы в сфере холодного водоснабжения, водоотведения и об установлении тарифов на питьевую воду, водоотведение ОАО "Северо-Кузбасская энергетическая компания" (Кемеровский городской округ, Кемеровский муниципальный округ)" в части 2022 года"
Номер опубликования: 4201202111190013
Дата опубликования: 19.11.2021
Страница №9 из 24:
Увеличить