Официальное опубликование правовых актов
ОФИЦИАЛЬНОЕ ОПУБЛИКОВАНИЕ
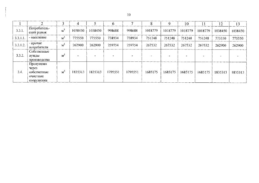
Постановление Региональной энергетической комиссии Кузбасса от 16.11.2021 № 538
"О внесении изменений в постановление региональной энергетической комиссии Кемеровской области от 14.12.2018 № 518 "Об утверждении производственной программы в сфере холодного водоснабжения питьевой водой, технической водой, водоотведенияи об установлении тарифов на питьевую воду, техническую воду, водоотведение ОАО "Северо-Кузбасская энергетическая компания"(г. Березовский)" в части 2022 года"
Номер опубликования: 4201202111190015
Дата опубликования: 19.11.2021
Страница №10 из 25:
Увеличить