Официальное опубликование правовых актов
ОФИЦИАЛЬНОЕ ОПУБЛИКОВАНИЕ
Постановление Региональной энергетической комиссии Кузбасса от 20.12.2021 № 870
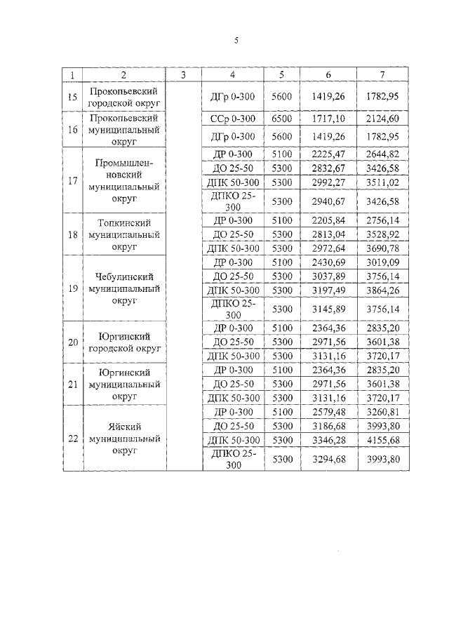
"Об установлении цены на топливо твердое, реализуемое ООО "Алавеста Групп" гражданам, управляющим организациям, товариществам собственников жилья, жилищным, жилищно-строительным или иным специализированным потребительским кооперативам, созданным в целях удовлетворения потребностей граждан в жилье на территории Кемеровской области-Кузбасса"
Номер опубликования: 4201202112290060
Дата опубликования: 29.12.2021
Страница №5 из 5:
Увеличить