Официальное опубликование правовых актов
ОФИЦИАЛЬНОЕ ОПУБЛИКОВАНИЕ
Постановление Региональной энергетической комиссии Кузбасса от 31.07.2023 № 84
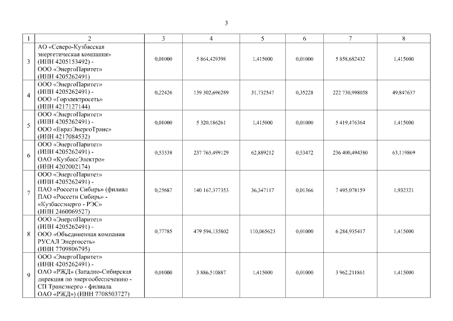
"Об установлении индивидуальных тарифов на услуги по передаче электрической энергии для взаиморасчетов между ООО "ЭнергоПаритет" и сетевыми организациями Кемеровской области - Кузбасса на 2022 год"
(Зарегистрирован 31.07.2023 № 02542324224)
Номер опубликования: 4201202308090008
Дата опубликования: 09.08.2023
Страница №3 из 4:
Увеличить