Официальное опубликование правовых актов
ОФИЦИАЛЬНОЕ ОПУБЛИКОВАНИЕ
Постановление Региональной энергетической комиссии Кузбасса от 31.07.2023 № 87
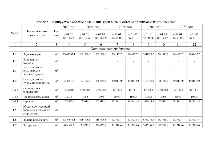
"О внесении изменений в постановление Региональной энергетической комиссии Кузбасса от 28.11.2022 № 748 "Об утверждении производственной программы в сфере холодного водоснабжения, водоотведения и об установлении тарифов на питьевую воду, водоотведение МУП "Междуреченский Водоканал" (Междуреченский городской округ)" в части 2024 года"
(Зарегистрирован 31.07.2023 № 02562324224)
Номер опубликования: 4201202308090009
Дата опубликования: 09.08.2023
Страница №6 из 20:
Увеличить