Официальное опубликование правовых актов
ОФИЦИАЛЬНОЕ ОПУБЛИКОВАНИЕ
Постановление Региональной энергетической комиссии Кузбасса от 26.10.2023 № 216
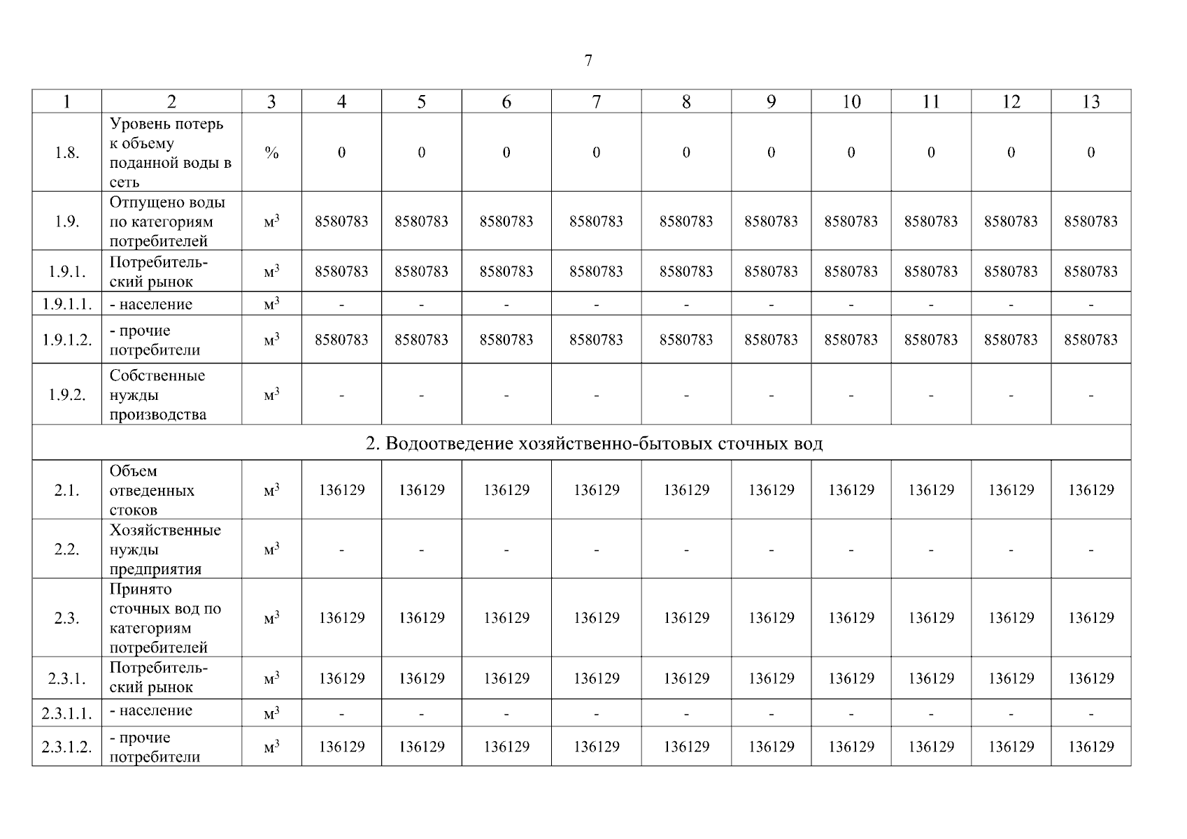
"Об утверждении производственной программы в сфере холодного водоснабжения, водоотведения и об установлении тарифов на техническую воду, водоотведение хозяйственно-бытовых сточных вод, транспортировку сточных вод КАО «Азот» (Кемеровский городской округ)"
(Зарегистрирован 26.10.2023 № 04952324224)
Номер опубликования: 4201202310270011
Дата опубликования: 27.10.2023
Страница №7 из 23:
Увеличить