Официальное опубликование правовых актов
ОФИЦИАЛЬНОЕ ОПУБЛИКОВАНИЕ
Постановление Региональной энергетической комиссии Кузбасса от 19.12.2023 № 601
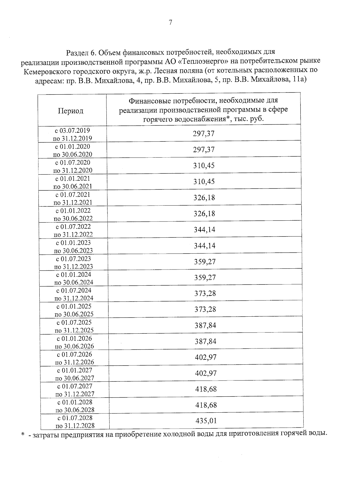
"О внесении изменений в постановление региональной энергетической комиссии Кемеровской области от 02.07.2019 № 182 "Об утверждении производственной программы в сфере горячего водоснабжения и об установлении долгосрочных тарифов АО "Теплоэнерго" на горячую воду в закрытой системе горячего водоснабжения, реализуемую на потребительском рынке Кемеровского городского округа ж.р. Лесная поляна (от котельных расположенных по адресам: пр. В.В. Михайлова, 4, пр. В.В. Михайлова, 5, пр. В.В. Михайлова, 11а) на 2019-2028 годы" в части 2024 года"
(Зарегистрирован 20.12.2023 № 09642324224)
Номер опубликования: 4201202312250008
Дата опубликования: 25.12.2023
Страница №7 из 14:
Увеличить