Официальное опубликование правовых актов
ОФИЦИАЛЬНОЕ ОПУБЛИКОВАНИЕ
Постановление Региональной энергетической комиссии Кузбасса от 19.12.2025 № 635
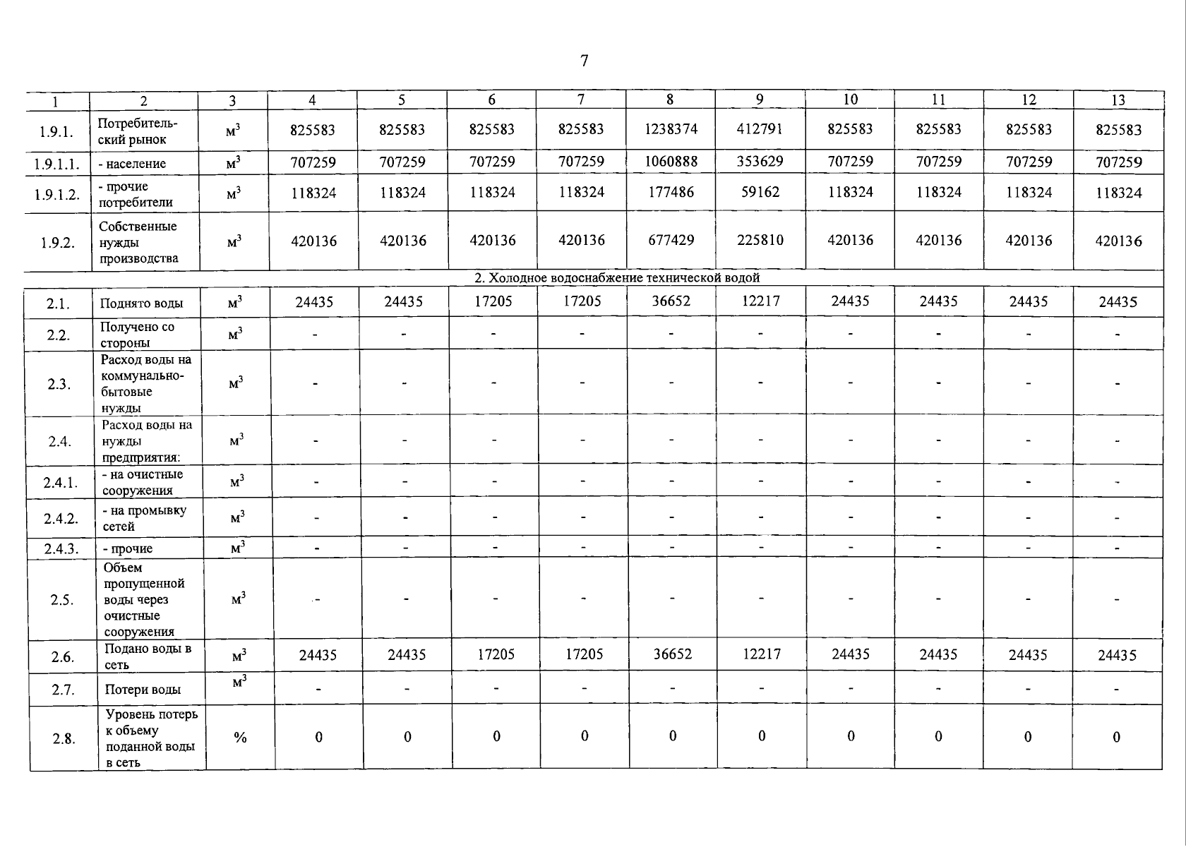
"О внесении изменений в постановление Региональной энергетической комиссии Кузбасса от 20.12.2023 № 726 "Об утверждении производственной программы в сфере холодного водоснабжения питьевой водой, технической водой, водоотведения и об установлении тарифов на питьевую воду, техническую воду, водоотведение ОАО "Северо-Кузбасская энергетическая компания" (Березовский городской округ)" в части 2026 года"
(Зарегистрирован 20.12.2025 № 14632524224 )
Номер опубликования: 4201202512250032
Дата опубликования: 25.12.2025
Страница №7 из 23:
Увеличить