Официальное опубликование правовых актов
ОФИЦИАЛЬНОЕ ОПУБЛИКОВАНИЕ
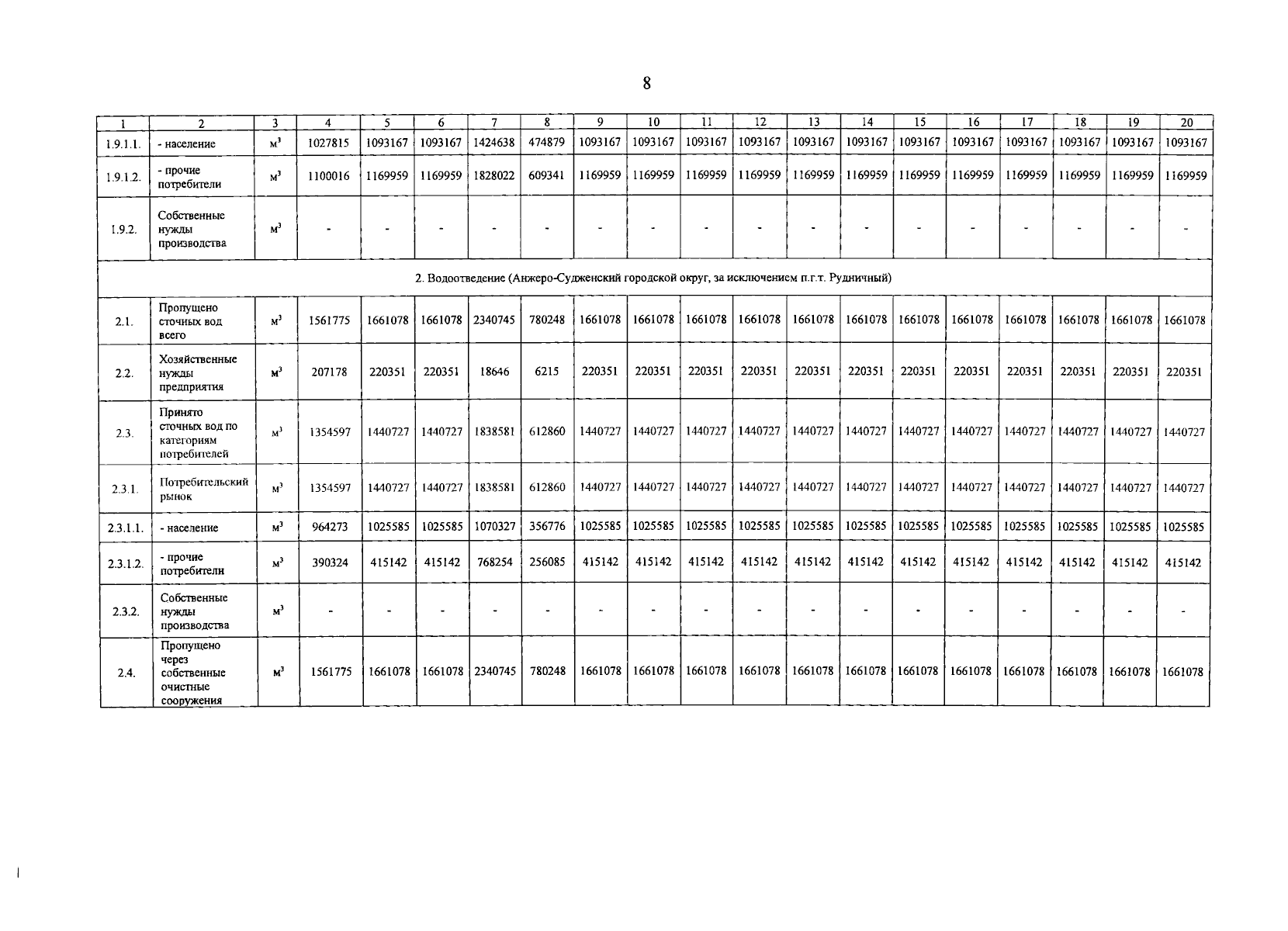
Постановление Региональной энергетической комиссии Кузбасса от 19.12.2025 № 634
"О внесении изменений в постановление Региональной энергетической комиссии Кузбасса от 11.07.2024 № 126 "Об утверждении производственной программы в сфере холодного водоснабжения, водоотведения и об установлении тарифов на питьевую воду, водоотведение ООО "Чистая вода" (Анжеро-Судженский городской округ)" в части 2026 года"
(Зарегистрирован 20.12.2025 № 14622524224)
Номер опубликования: 4201202512250033
Дата опубликования: 25.12.2025
Страница №8 из 22:
Увеличить