Постановление Региональной энергетической комиссии Кузбасса от 19.12.2025 № 765
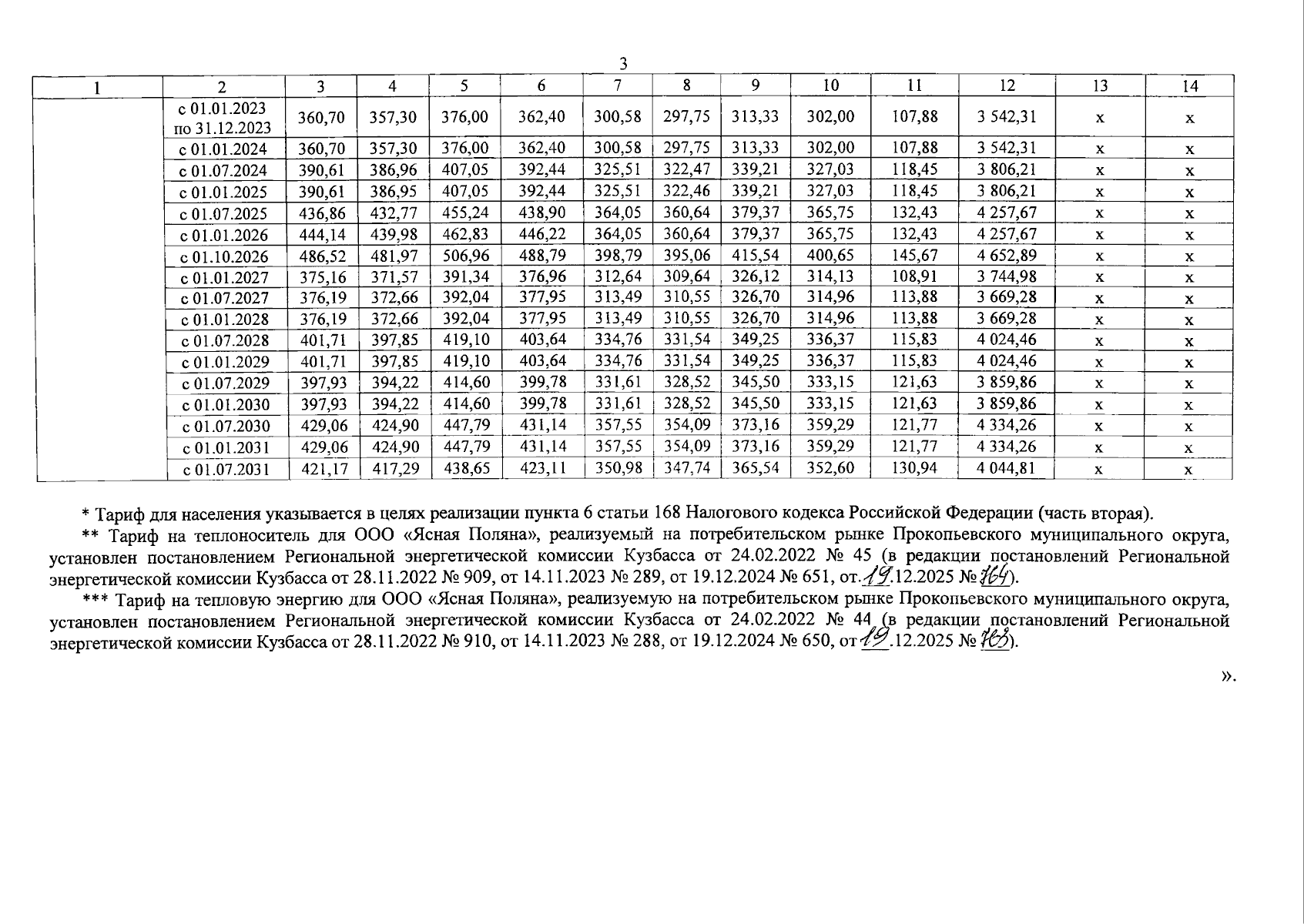
"О внесении изменений в постановление Региональной энергетической комиссии Кузбасса от 24.02.2022 № 46 "Об установлении ООО "Ясная Поляна" долгосрочных тарифов на горячую воду в открытой системе горячего водоснабжения (теплоснабжения), реализуемую на потребительском рынке Прокопьевского муниципального округа, на 2022-2031 годы" в части 2026 года"
(Зарегистрирован 21.12.2025 № 15942524224)
"О внесении изменений в постановление Региональной энергетической комиссии Кузбасса от 24.02.2022 № 46 "Об установлении ООО "Ясная Поляна" долгосрочных тарифов на горячую воду в открытой системе горячего водоснабжения (теплоснабжения), реализуемую на потребительском рынке Прокопьевского муниципального округа, на 2022-2031 годы" в части 2026 года"
(Зарегистрирован 21.12.2025 № 15942524224)
Номер опубликования: 4201202512260029
Дата опубликования:
26.12.2025
