Официальное опубликование правовых актов
ОФИЦИАЛЬНОЕ ОПУБЛИКОВАНИЕ
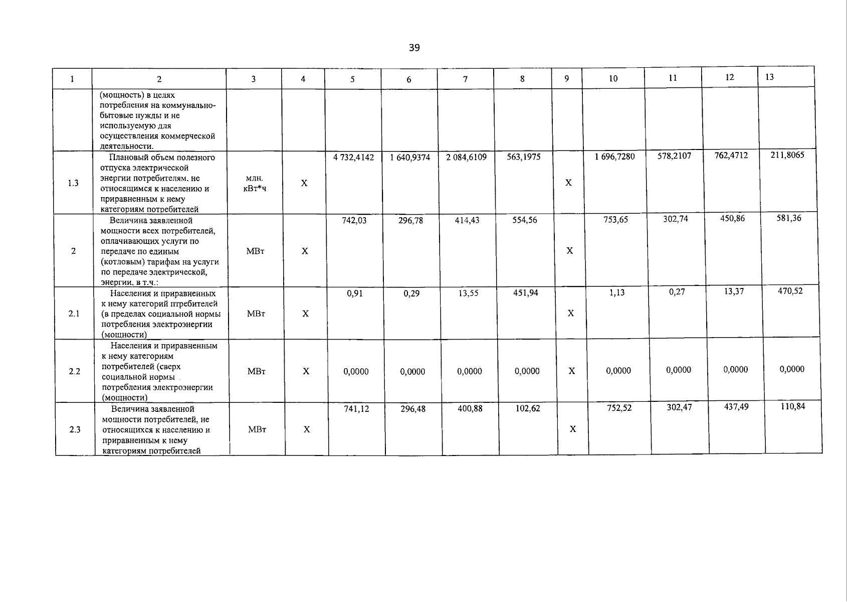
Постановление Региональной энергетической комиссии Кузбасса от 30.12.2025 № 934
"Об установлении тарифов на услуги по передаче электрической энергии по сетям Кемеровской области - Кузбасса, поставляемой потребителям на 2026 год"
(Зарегистрирован 30.12.2025 № 17642524224)
Номер опубликования: 4201202601050037
Дата опубликования: 05.01.2026
Страница №39 из 66:
Увеличить