Официальное опубликование правовых актов
ОФИЦИАЛЬНОЕ ОПУБЛИКОВАНИЕ
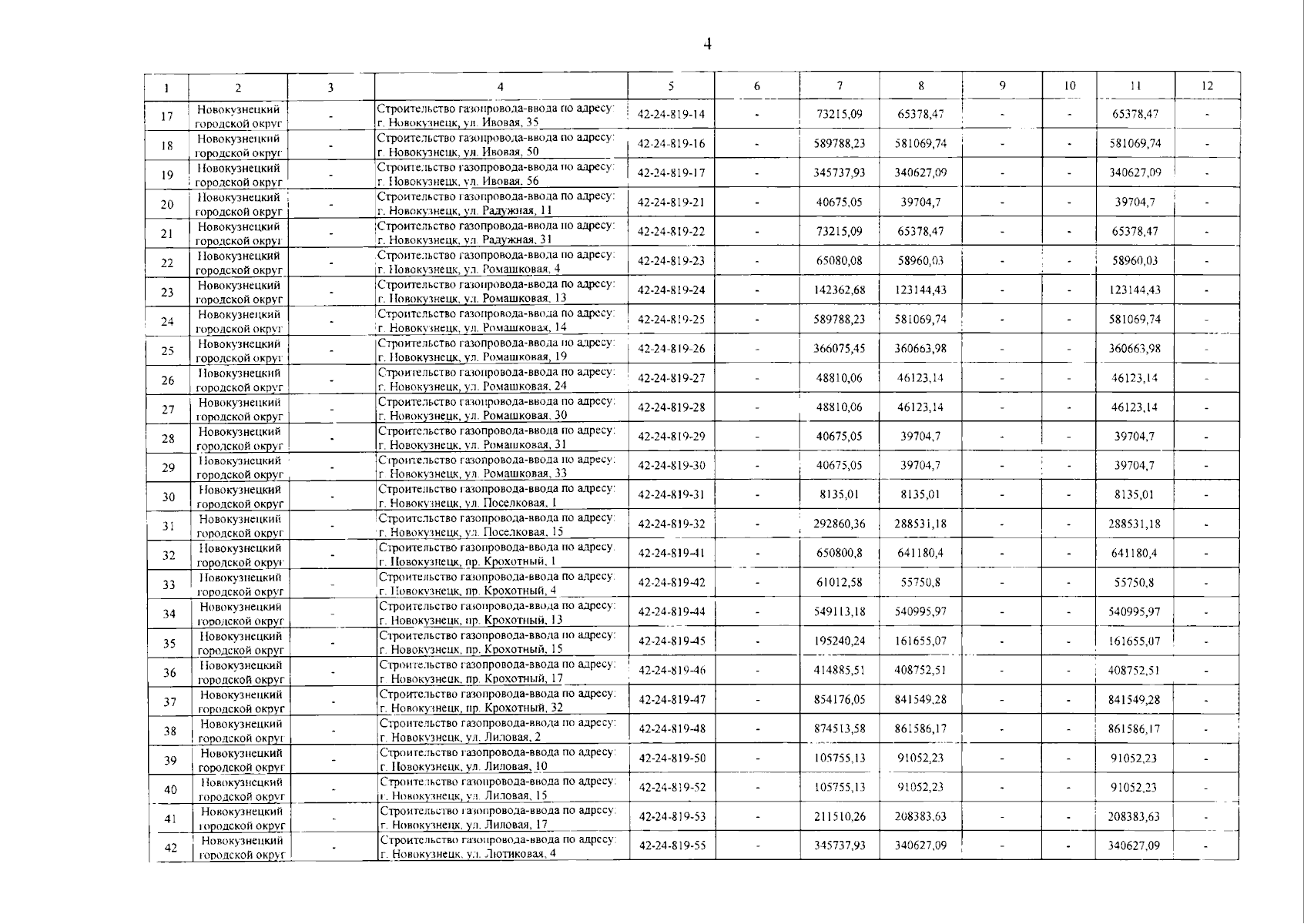
Постановление Региональной энергетической комиссии Кузбасса от 09.04.2026 № 84
"Об определении экономически обоснованного размера недостаточности финансовых средств газораспределительной организации для покрытия расходов на реализацию мероприятий по технологическому присоединению в рамках догазификации для ООО "Сибгаз-Эксплуатация" на 2 квартал 2026 года"
(Зарегистрирован 09.04.2026 № 18492624224)
Номер опубликования: 4201202604130002
Дата опубликования: 13.04.2026
Страница №4 из 5:
Увеличить