Официальное опубликование правовых актов
ОФИЦИАЛЬНОЕ ОПУБЛИКОВАНИЕ
Указ Губернатора Кировской области от 29.12.2023 № 185
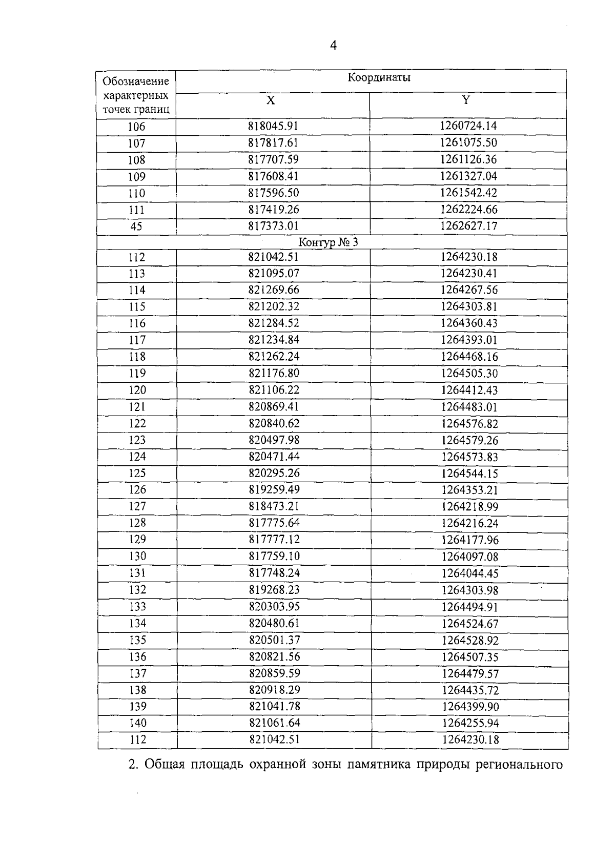
"Об охранной зоне памятника природы регионального значения "Аникинский сосновый бор"
Номер опубликования: 4300202312300008
Дата опубликования: 30.12.2023
Страница №5 из 12:
Увеличить