Официальное опубликование правовых актов
ОФИЦИАЛЬНОЕ ОПУБЛИКОВАНИЕ
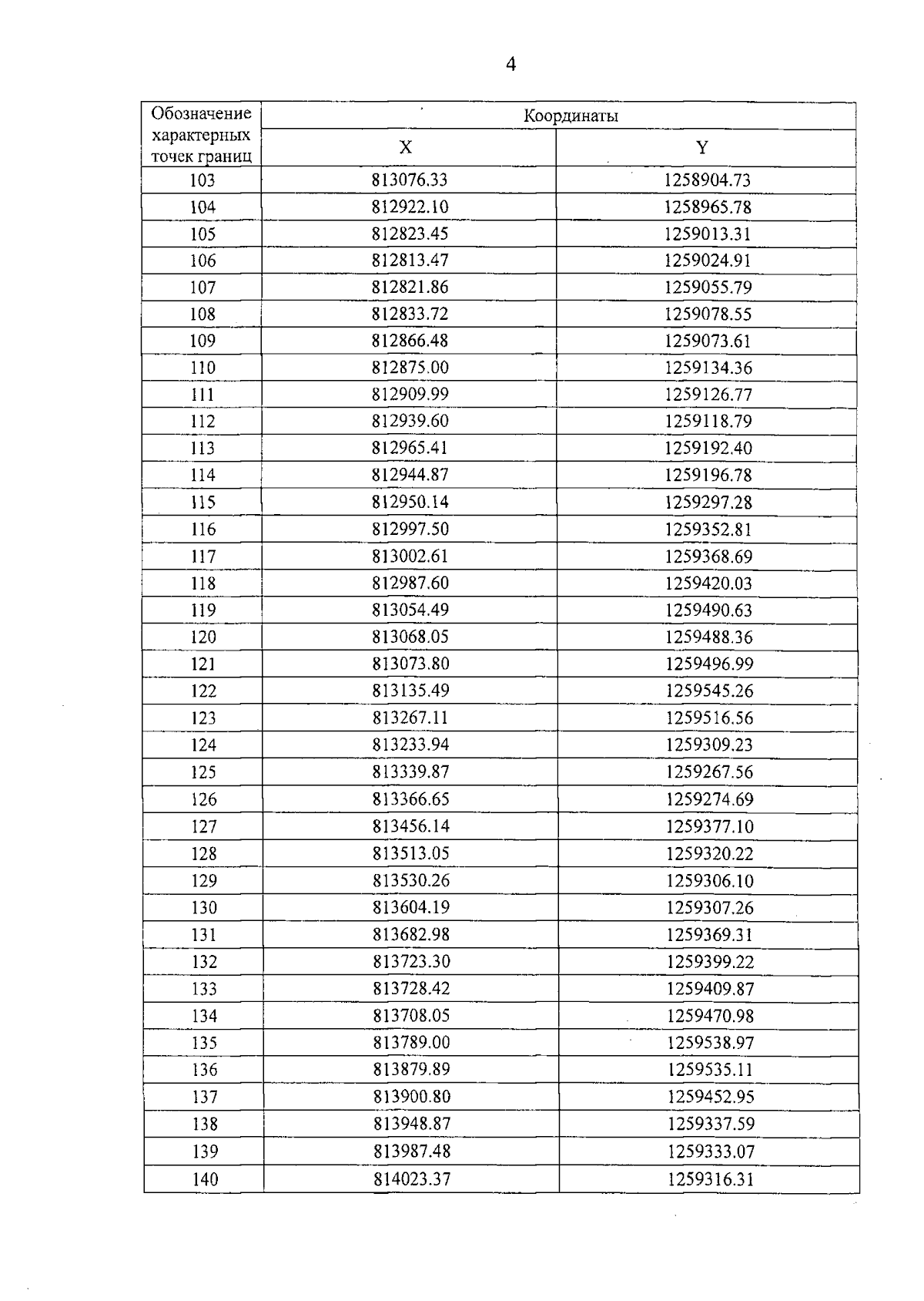
Указ Губернатора Кировской области от 29.12.2023 № 187
"Об охранной зоне памятника природы регионального значения "Потаповский сосновый бор"
Номер опубликования: 4300202312300015
Дата опубликования: 30.12.2023
Страница №5 из 15:
Увеличить