Официальное опубликование правовых актов
ОФИЦИАЛЬНОЕ ОПУБЛИКОВАНИЕ
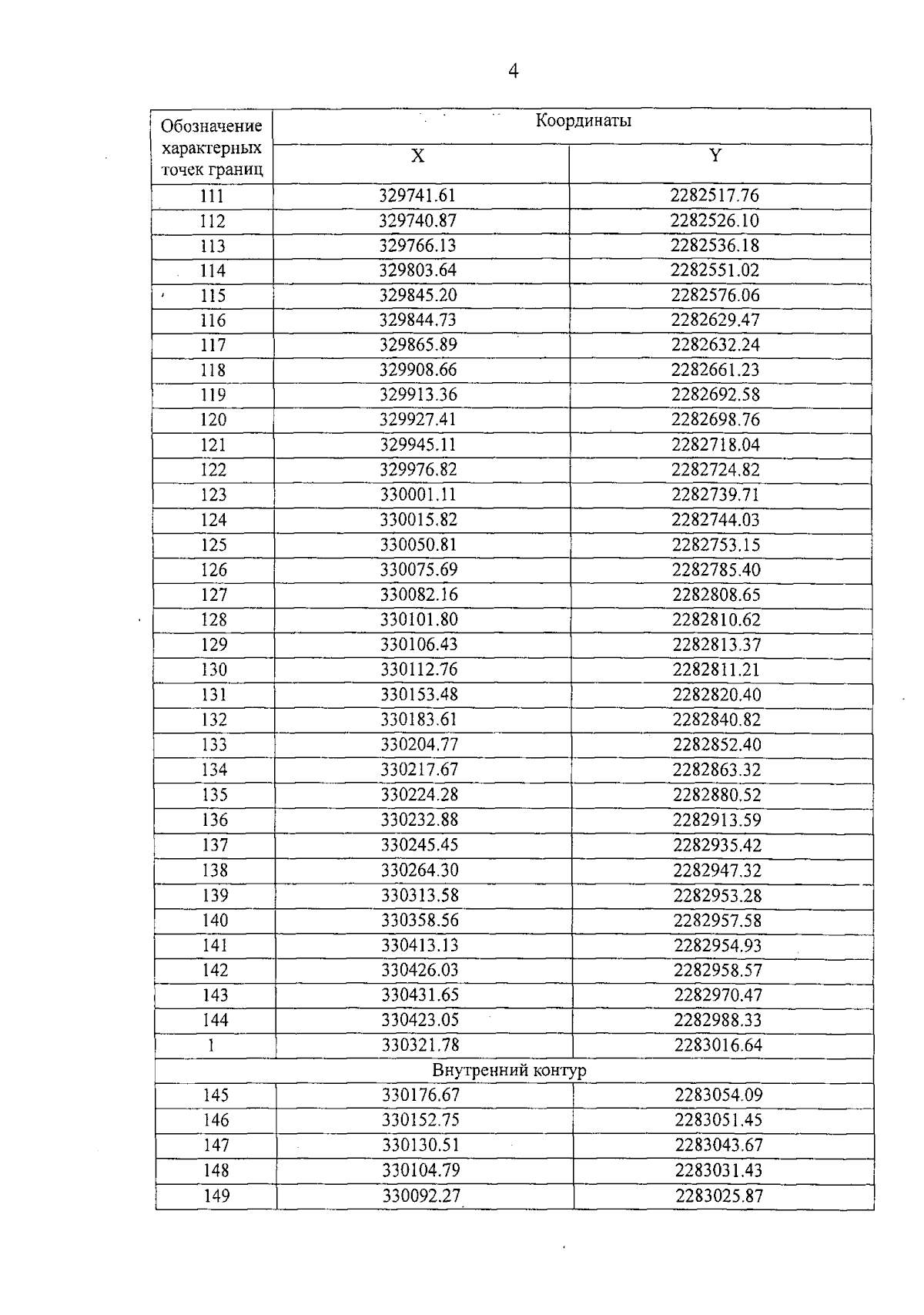
Указ Губернатора Кировской области от 29.12.2023 № 186
"Об охранной зоне памятника природы регионального значения "Озеро Казанское"
Номер опубликования: 4300202312300029
Дата опубликования: 30.12.2023
Страница №5 из 17:
Увеличить