Официальное опубликование правовых актов
ОФИЦИАЛЬНОЕ ОПУБЛИКОВАНИЕ
Постановление Правительства Кировской области от 11.01.2024 № 5-П
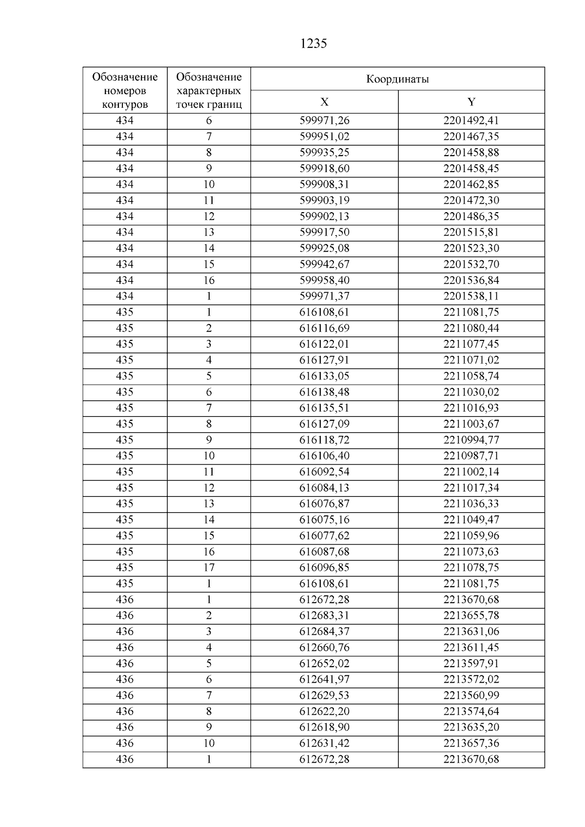
"О внесении изменений в постановление Правительства Кировской области от 25.06.2020 № 333-П "Об утверждении границ особо охраняемой природной территории регионального значения "Зеленая зона городов Кирова, Кирово-Чепецка и Слободского"
Номер опубликования: 4300202401170001
Дата опубликования: 17.01.2024
Страница №1384 из 1408:
Увеличить