Официальное опубликование правовых актов
ОФИЦИАЛЬНОЕ ОПУБЛИКОВАНИЕ
Указ Губернатора Кировской области от 09.04.2024 № 41
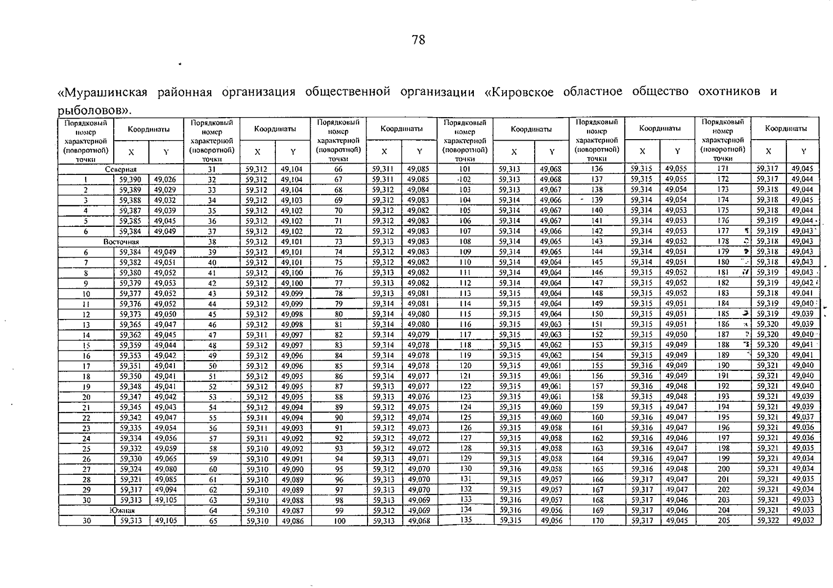
"О внесении изменений в Указ Губернатора Кировской области от 02.08.2021 № 112 "Об утверждении Схемы размещения, использования и охраны охотничьих угодий на территории Кировской области"
Номер опубликования: 4300202404120012
Дата опубликования: 12.04.2024
Страница №79 из 86:
Увеличить