Официальное опубликование правовых актов
ОФИЦИАЛЬНОЕ ОПУБЛИКОВАНИЕ
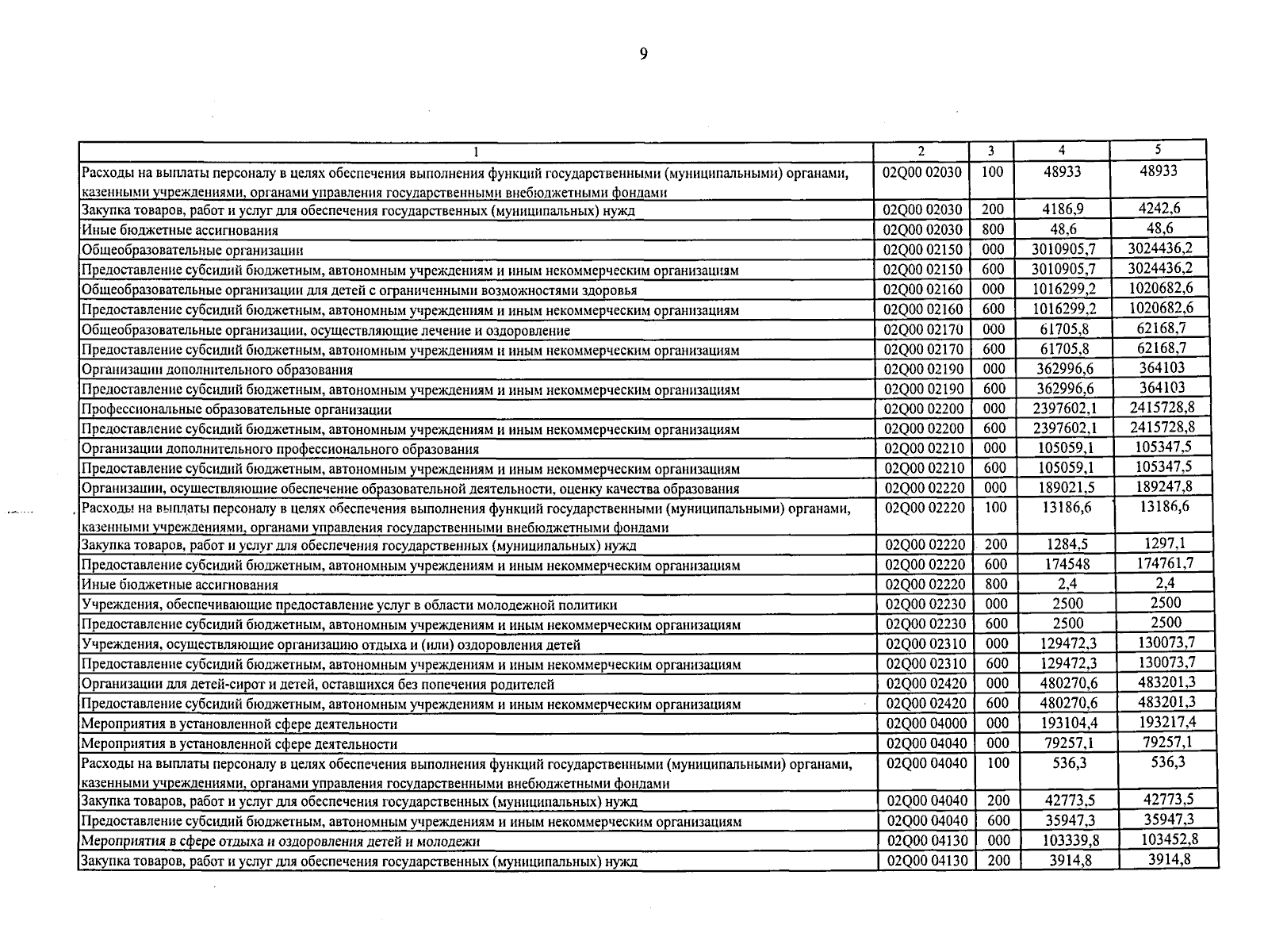
Закон Кировской области от 19.12.2024 № 348-ЗО
"Об областном бюджете на 2025 год и на плановый период 2026 и 2027 годов"
Номер опубликования: 4300202412240007
Дата опубликования: 24.12.2024
Страница №190 из 716:
Увеличить