Официальное опубликование правовых актов
ОФИЦИАЛЬНОЕ ОПУБЛИКОВАНИЕ
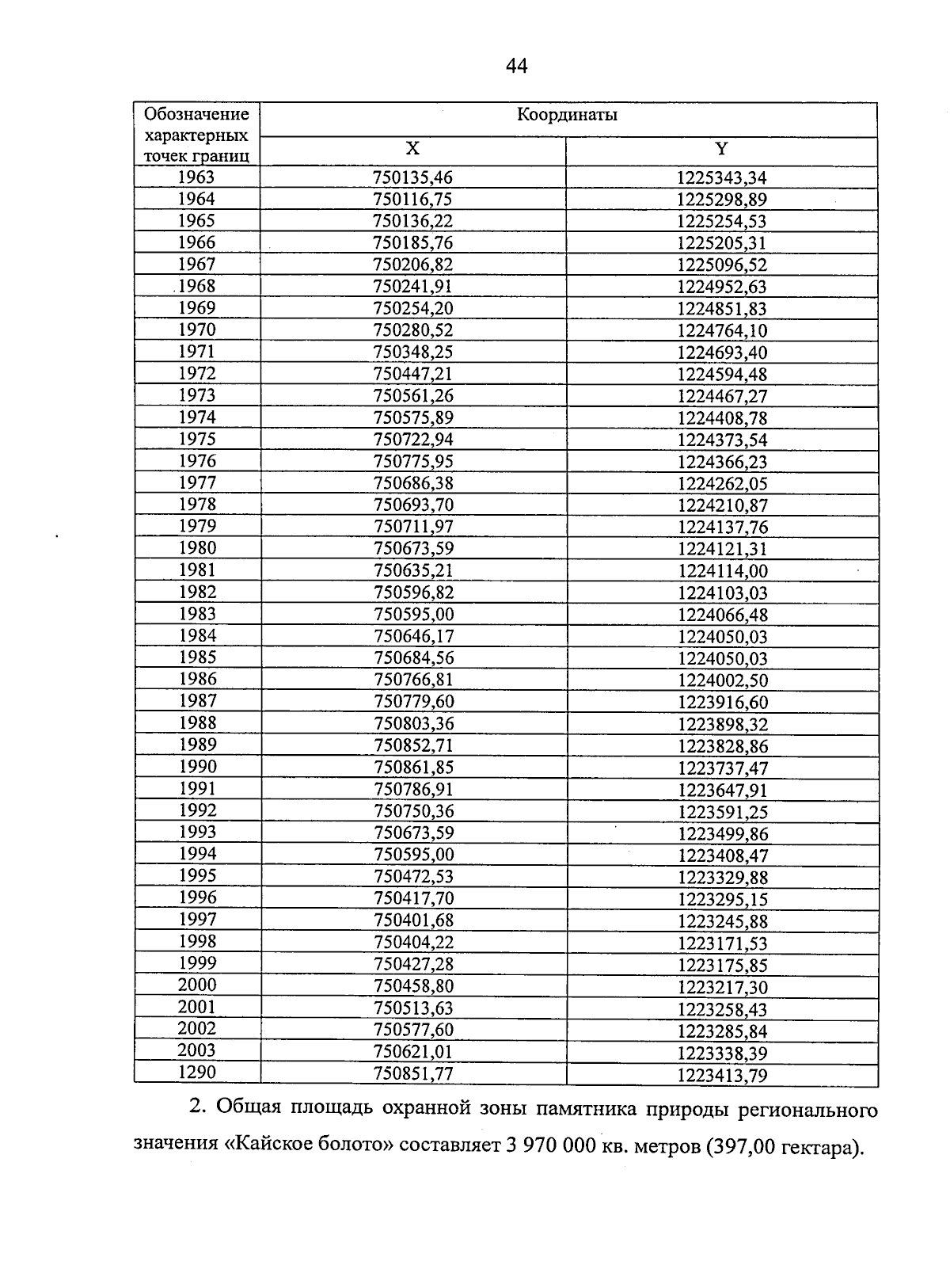
Указ Губернатора Кировской области от 28.12.2024 № 210
"Об охранной зоне памятника природы регионального значения "Кайское болото"
Номер опубликования: 4300202412290020
Дата опубликования: 29.12.2024
Страница №46 из 53:
Увеличить