Официальное опубликование правовых актов
ОФИЦИАЛЬНОЕ ОПУБЛИКОВАНИЕ
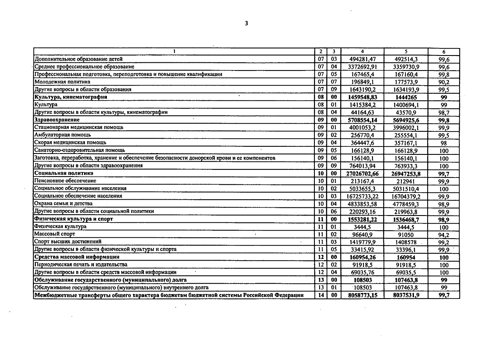
Закон Кировской области от 11.06.2025 № 403-ЗО
"Об исполнении областного бюджета за 2024 год"
Номер опубликования: 4300202506170001
Дата опубликования: 17.06.2025
Страница №356 из 388:
Увеличить