Официальное опубликование правовых актов
ОФИЦИАЛЬНОЕ ОПУБЛИКОВАНИЕ
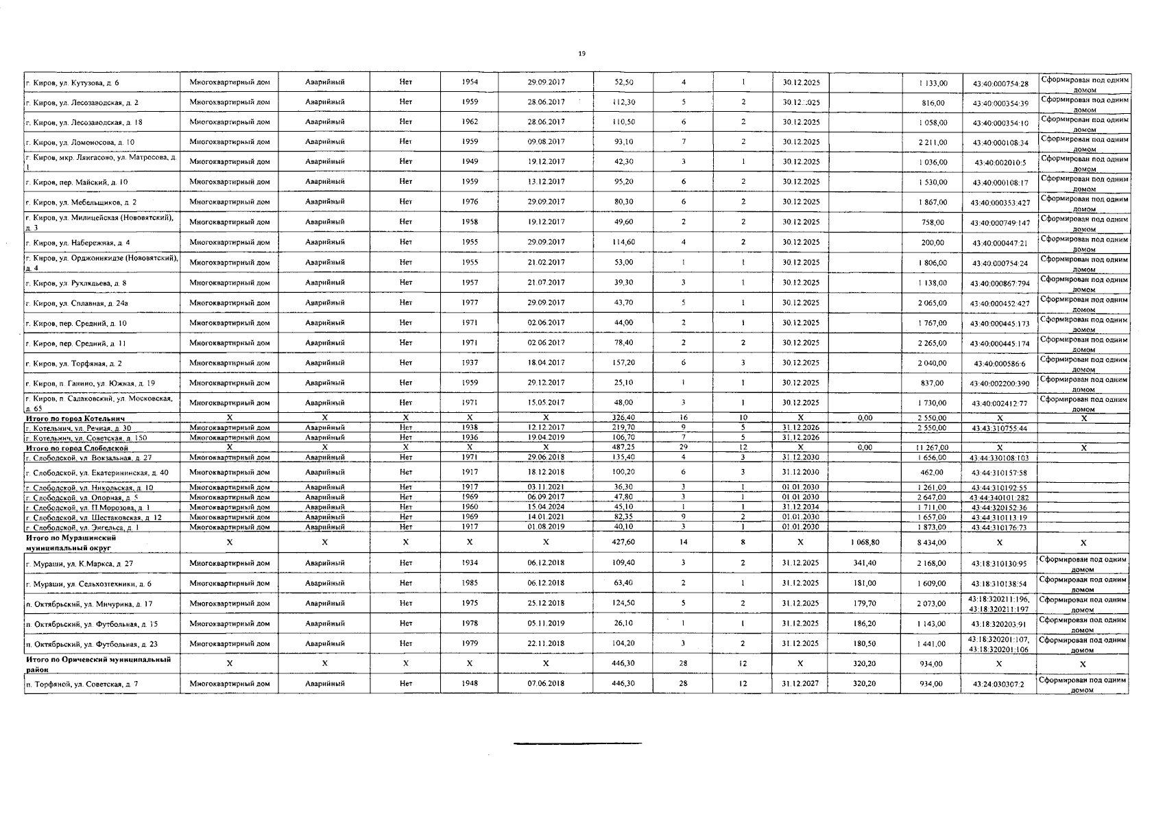
Постановление Правительства Кировской области от 01.09.2025 № 460-П
"Об утверждении областной адресной программы "Переселение граждан, проживающих на территории Кировской области, из аварийного жилищного фонда, признанного таковым после 1 января 2017 года"
Номер опубликования: 4300202509100009
Дата опубликования: 10.09.2025
Страница №20 из 23:
Увеличить