Официальное опубликование правовых актов
ОФИЦИАЛЬНОЕ ОПУБЛИКОВАНИЕ
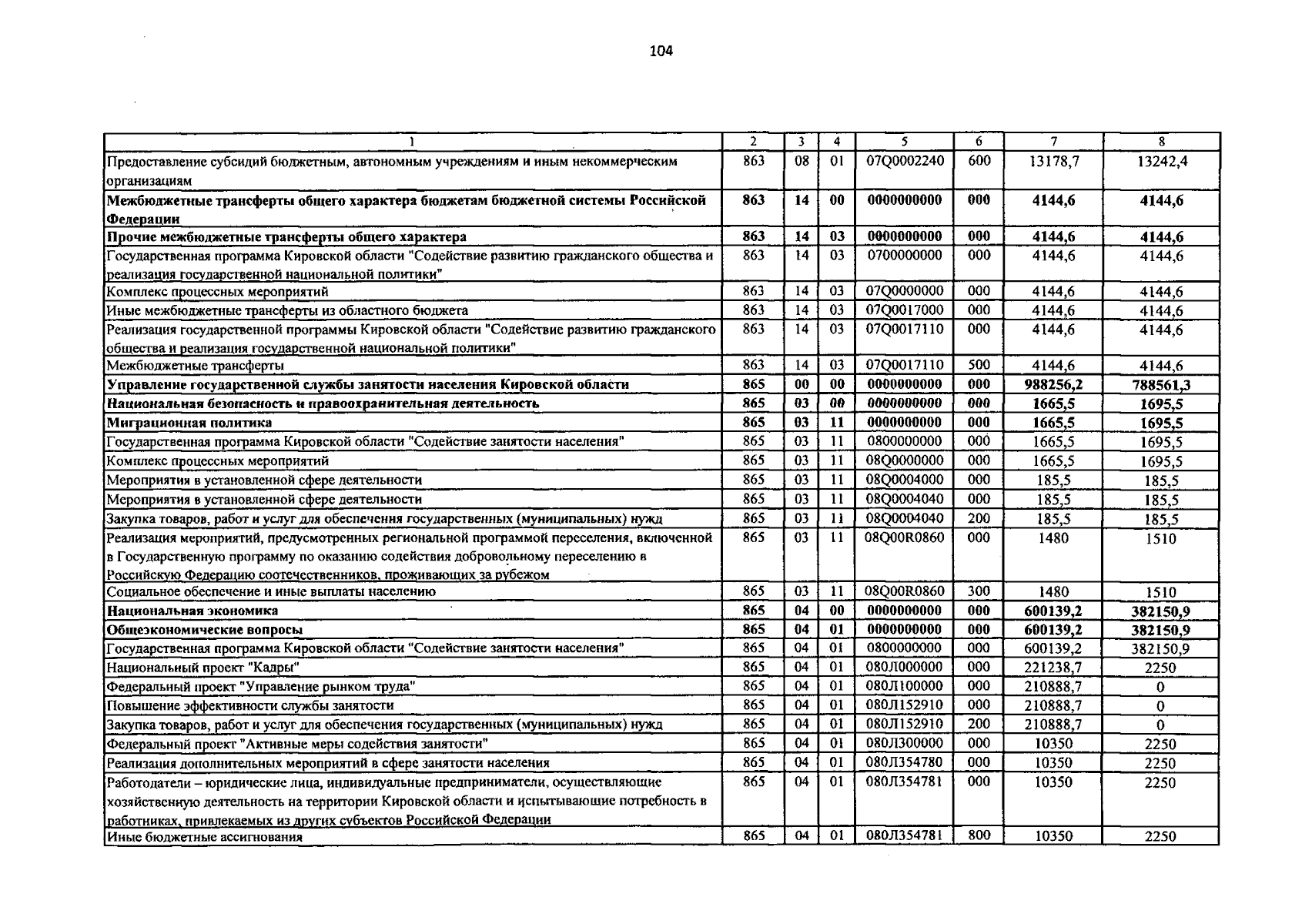
Закон Кировской области от 25.09.2025 № 419-ЗО
"О внесении изменений в Закон Кировской области "Об областном бюджете на 2025 год и на плановый период 2026 и 2027 годов"
Номер опубликования: 4300202510010007
Дата опубликования: 01.10.2025
Страница №417 из 562:
Увеличить