Постановление Правительства Кировской области от 07.10.2025 № 503-П
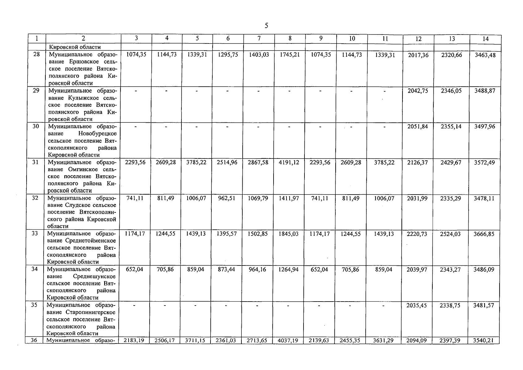
"О внесении изменения в постановление Правительства Кировской области от 28.06.2018 № 312-П "Об установлении сезонных региональных стандартов стоимости жилищно-коммунальных услуг для предоставления субсидий на оплату жилого помещения и коммунальных услуг по муниципальным образованиям области"
"О внесении изменения в постановление Правительства Кировской области от 28.06.2018 № 312-П "Об установлении сезонных региональных стандартов стоимости жилищно-коммунальных услуг для предоставления субсидий на оплату жилого помещения и коммунальных услуг по муниципальным образованиям области"
Номер опубликования: 4300202510090001
Дата опубликования:
09.10.2025